点击化学DBCO、TCO、N3功能化修饰FITC异硫氰基荧光素
产品名称:点击化学DBCO、TCO、N3功能化修饰FITC异硫氰基荧光素
产品描述:
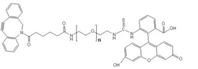
DBCO聚乙二醇荧光素,DBCO-PEG-FITC基本信息:
中文名称:二苯并环辛烯聚乙二醇荧光素
英文名称:DBCO-PEG-FITC
CAS:-
分子量:400、600、1K、2K、3.4K、4K、5K、10K
纯度:95%以上
结构式:

物理性质:
状态:淡黄色到黄色固体,或者半固体,取决于分子量。
溶解性:溶于DMSO,DMF等溶剂。
保持条件:-20℃长期保存,避光,干燥。
注意事项:取用一定要干燥,避免频繁的溶解和冻干。
反应性:DBCO于含有N3基团的反应。
应用简介:
DBCO(二苯并环辛炔)是一种环炔,可在水溶液中通过应变促进的1,3-偶极环加成与叠氮化合物反应,这是一种生物正交反应,也称为无铜点击反应。该反应具有选择性和生物相容性,使得互补试剂可以与功能生物系统形成共价键。无铜点击反应是无催化剂生物结合的有力工具。DBCO试剂在水性缓冲液中具有快速动力学和稳定性,可用于标记叠氮化物修饰的生物分子,具有较高的特异性和反应性。
联系我们:
邮箱:2519696869@qq.com
QQ: 2519696869
电话:18066853083
微信:18066853083
公司介绍:
西安齐岳生物科技有限公司是集化学科研和定制与一体的高科技化学公司。业务范围包括化学试剂和产品的研发、生产、销售等。涉及产品为通用试剂的分销、非通用试剂的定制与研发,涵盖生物科技、化学品、中间体和化工材料等领域。
主营产品:COF、MOF单体系列:三蝶烯衍生物、金刚烷衍生物、四苯甲烷衍生物、peg、上转换、石墨烯、光电材料、点击化学、凝集素、载玻片、蛋白质交联剂、脂质体、蛋白、多肽、氨基酸、糖化学等。


