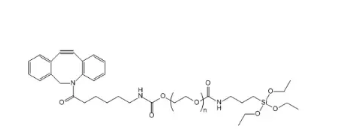
DBCO-PEG-Silane,二苯并环辛炔-聚乙二醇-硅烷,DBCO-PEG-硅烷的结构式
产品名称:DBCO-PEG-Silane,二苯并环辛炔-聚乙二醇-硅烷,DBCO-PEG-硅烷的结构式
产品描述:
英文名称:DBCO-PEG-Silane
中文名称:二苯并环辛炔-聚乙二醇-三乙氧基硅烷
英文别名:DibenzocycolctynePEG-Silane
产品纯度:≥95%
存储条件:-5°C以下贮存,干燥,避光。
产品用途:应用于医学研究,药物释放,纳米技术和新材料研究,细胞培养。 以及配体研究,多肽合成支持,接枝高分子化合物,新材料和聚乙二醇改性功能涂层等活性化合物方面。
结构式:

定制合成服务:
西安齐岳生物科技有限公司提供各种复杂的PEG衍生物定制服务,荧光标记肽,各种特殊基因,各种特殊蛋白或分子,多肽修饰PEG的偶联。
1. 提供各种复杂、特殊的PEG产品定制;
2. 拥有齐全的PEG产品备库可提供几千多种产品种类;
3. 提供多种官能团修饰,性能好,纯度高,产品分子量200~40k;
4. 生产工艺简化,杂质低,品质稳定,取代率纯度大于95%;
PEG分子量可定制,1000,5000,3400,10000等等
相关产品:
DBCO-PEG-PLGA 二苯并环辛炔-聚乙二醇-聚乳酸-羟基乙酸共聚物
DBCO-PEG-PCL 二苯并环辛炔-聚乙二醇-聚已内酯
DBCO-PEG-PLA 二苯并环辛炔-聚乙二醇-聚乳酸
DBCO-PEG-PAA 二苯并环辛炔-聚乙二醇-聚丙烯酸
DBCO-PEG-Polystyrene 二苯并环辛炔-聚乙二醇-聚丙乙烯
DBCO-PEG-PEI 二苯并环辛炔-聚乙二醇-聚乙烯亚胺
DBCO-PEG-PAMAM 二苯并环辛炔-聚乙二醇-树枝状聚酰胺
DBCO-PEG-PNIPAAm 二苯并环辛炔-聚乙二醇-聚N-异丙基丙烯酰胺
DBCO-PEG-PtBA 二苯并环辛炔-聚乙二醇-聚丙烯酸叔丁酯
厂家:西安齐岳生物科技有限公司
温馨提醒:仅供科研,不能用于人体实验
联系我们:
邮箱:2519696869@qq.com
QQ: 2519696869
电话:18066853083
微信:18066853083
公司介绍:
西安齐岳生物科技有限公司是集化学科研和定制与一体的高科技化学公司。业务范围包括化学试剂和产品的研发、生产、销售等。涉及产品为通用试剂的分销、非通用试剂的定制与研发,涵盖生物科技、化学品、中间体和化工材料等领域。
主营产品:COF、MOF单体系列:三蝶烯衍生物、金刚烷衍生物、四苯甲烷衍生物、peg、上转换、石墨烯、光电材料、点击化学、凝集素、载玻片、蛋白质交联剂、脂质体、蛋白、多肽、氨基酸、糖化学等。


