BCN-PEG-Biotin 环丙烷环辛炔聚乙二醇生物素
产品名称: BCN-PEG-Biotin 环丙烷环辛炔聚乙二醇生物素
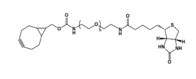
产品描述:
双环[6,1,0]壬炔 (BCN) (环丙烷环辛炔)可以通过无铜的点击化学与叠氮化物标记的分子或生物分子反应生成稳定的三氮唑连接。
产品名称 BCN-PEG-Biotin 环丙烷环辛炔聚乙二醇生物素
中文名称 环丙烷环辛炔聚乙二醇生物素
英文名称 BCN-PEG-Biotin
分子量 1000
CAS N/A
溶解度 DMSO,CHCl3,甲醇
存储条件 -20°冷冻
保存时间 一年
其它分子量 2000 3400 5000 10000

定制合成服务:
西安齐岳生物科技有限公司提供各种复杂的PEG衍生物定制服务,荧光标记肽,各种特殊基因,各种特殊蛋白或分子,多肽修饰PEG的偶联。
1. 提供各种复杂、特殊的PEG产品定制;
2. 拥有齐全的PEG产品备库可提供几千多种产品种类;
3. 提供多种官能团修饰,性能好,纯度高,产品分子量200~40k;
4. 生产工艺简化,杂质低,品质稳定,取代率纯度大于95%;
PEG分子量可定制,1000,5000,3400,10000等等
相关产品:
BCN-PEG-Methacrylate/MA 环丙烷环辛炔-聚乙二醇-甲基丙烯酸酯
BCN-PEG-Iodoacetate/IA 环丙烷环辛炔-聚乙二醇-碘乙酸盐
BCN-PEG-Chloride 环丙烷环辛炔-聚乙二醇-氯化物
BCN-PEG-DBCO 环丙烷环辛炔-聚乙二醇-二苯基环辛炔
BCN-PEG-TCO 环丙烷环辛炔-聚乙二醇-反式环辛烯
BCN-PEG-TZ/Tetrazine 环丙烷环辛炔-聚乙二醇-四嗪
BCN-PEG-Folate/FA/folic acid 环丙烷环辛炔-聚乙二醇-叶酸
BCN-PEG-Multi-Arms (4 arm 8arm) 环丙烷环辛炔-聚乙二醇-多臂PEG
BCN-PEG-Protected Amines (FMOC, tBOC)
购买须知:
1.关于颜色
产品因不同产品的分子量不同,产品性状和颜色会有差别。
2.关于客服
如您的咨询没能及时回复,可能是当时咨询量过大或是系统故障。
我们将提供售后服务。
3.关于发货
我们的合作快递公司有顺丰、圆通、申通、韵达。
温馨提醒:仅供科研
联系我们:
邮箱:2519696869@qq.com
QQ: 2519696869
电话:18066853083
微信:18066853083
公司介绍:
西安齐岳生物科技有限公司是集化学科研和定制与一体的高科技化学公司。业务范围包括化学试剂和产品的研发、生产、销售等。涉及产品为通用试剂的分销、非通用试剂的定制与研发,涵盖生物科技、化学品、中间体和化工材料等领域。
主营产品:COF、MOF单体系列:三蝶烯衍生物、金刚烷衍生物、四苯甲烷衍生物、peg、上转换、石墨烯、光电材料、点击化学、凝集素、载玻片、蛋白质交联剂、脂质体、蛋白、多肽、氨基酸、糖化学等。


