吡啶基二硫醚-聚乙二醇-羧基 OPSS-PEG-COOH
产品名称:吡啶基二硫醚-聚乙二醇-羧基 OPSS-PEG-COOH
产品描述:
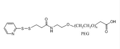
吡啶基二硫醚-聚乙二醇-羧基 OPSS-PEG-COOH (Orthopyridyl disulfide (PDP) PEG Carboxylic acid)
中文名称:吡啶基二硫醚-聚乙二醇-羧基
英文简称:OPSS-PEG-COOH
英文全称:OPSS-PEG-COOH (Orthopyridyl disulfide (PDP) PEG Carboxylic acid)
CAS号:n/a; PEG: 25322-68-3
主链结构:直链均聚物
主要成分:PEO/PEG
亲疏水性:亲水
产品类型:端基功能化修饰高分子
荧光/发光:无
外观/形态:固态粉末或颗粒(以实际外观为准)

品牌:齐岳生物
用途:科研
包装: 瓶装
产地:西安
供应商:西安齐岳生物科技有限公司
温馨提示:仅用于科研!
西安齐岳生物科技有限公司是国内的高分子聚合物合成厂家,我公司可以提供各种不同的聚合物的嵌段共聚,有均聚物,嵌段共聚物,星形聚合物等,聚合物包括有PEG、PLGA、PLA、PCL、PS、PLL,PtBA,PMMA,PAA,P4VP,P2VP,PNIPAAm,聚赖氨酸、聚谷氨酸、聚天冬氨酸、PEI、以及其他基团或者多肽聚合物,种类多,可提供定制服务。
相关产品:
聚苯乙烯共-(4-[3-羟丙基]苯乙烯)
聚苯乙烯共(4-[1-丁烯]-苯乙烯)
聚苯乙烯共(3-[六氟-2-羟丙基]-苯乙烯)
聚苯乙烯共(2-乙烯基吡啶)
聚苯乙烯共(2-羟乙基甲基丙烯酸酯)
聚苯乙烯共(1,2-丁二烯)共(1,4-丁二烯)
聚苯乙烯-二丙烯酸酯
聚苯乙烯-蒽基
聚苯乙烯-丁二烯
联系我们:
邮箱:2519696869@qq.com
QQ: 2519696869
电话:18066853083
微信:18066853083
公司介绍:
西安齐岳生物科技有限公司是集化学科研和定制与一体的高科技化学公司。业务范围包括化学试剂和产品的研发、生产、销售等。涉及产品为通用试剂的分销、非通用试剂的定制与研发,涵盖生物科技、化学品、中间体和化工材料等领域。
主营产品:COF、MOF单体系列:三蝶烯衍生物、金刚烷衍生物、四苯甲烷衍生物、peg、上转换、石墨烯、光电材料、点击化学、凝集素、载玻片、蛋白质交联剂、脂质体、蛋白、多肽、氨基酸、糖化学等。


