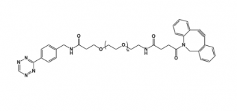
Tetrazine-PEG-DBCO 四嗪-聚乙二醇-二苯基环辛炔
产品名称: Tetrazine-PEG-DBCO 四嗪-聚乙二醇-二苯基环辛炔
产品描述:
DBCO(二苯并环辛炔)是一种环炔烃,可以通过在水溶液中通过应变促进的1,3-偶极环加成反应与叠氮化物反应,这种生物正交反应也称为无铜点击反应。 该反应具有选择性和生物相容性,因此互补试剂可以与功能生物系统形成共价键。 无铜点击反应一直是无催化剂生物共轭的有力工具。 DBCO试剂在水性缓冲液中具有快速的亲和力和稳定性,可用于以高特异性和反应性标记叠氮化物修饰的生物分子。四嗪可用于许多生物成像和生物共轭应用的生物正交反应。目前被广泛应用于蛋白质特定位点功能阐释、亚细胞结构选择性标记、药物靶向传递、活体动物分子影像和生物兼容性材料的制备等。
产品名称 Tetrazine-PEG-DBCO 四嗪-聚乙二醇-二苯基环辛炔
中文名称 四嗪-聚乙二醇-二苯基环辛炔
英文名称 Tetrazine-PEG-DBCO
分子量 600
CAS N/A
存储条件 -20°干燥冷冻
保存时间 一年
其它分子量 400 1000 2000 3400 5000 10000

西安齐岳生物可以提供:
1:常规基团 NH2/MAL/COOH-PEG-荧光基团/蛋白/高分子聚合物/磷脂/小分子/糖类
2:荧光基团FITC/RB/CY3/CY5-PEG-多肽/蛋白/高分子/小分子/糖类/聚合物
3:靶向分子 Folate//RGD/Chol/Dextran-PEG-常规活性基团/小分子/糖类/聚合物
4:聚合物类PCL/PLGA/PLA/PEI/PAMAM-PEG-常规活性基团/*规活性基团/荧光基团/小分子
5:氨基酸类PLL/PGA/PASP/His-PEG-常规活性基团/糖类/聚合物/蛋白
6:双硫键产品 DSPE-SS-PEG-活性基团
相关产品:
叠氮聚乙二醇硅 N3-PEG-Silane
炔基聚乙二醇羧基 Alkyne-PEG-COOH
炔基聚乙二醇巯基 Alkyne-PEG-SH
炔基聚乙二醇羟基 Alkyne-PEG-OH
CAS:1907651-34-6
炔基聚乙二醇马来酰亚胺 Alkyne-PEG-MAL
厂家:西安齐岳生物科技有限公司
储存时间:1年
保存:冷藏
温馨提醒:仅供科研,不能用于人体实验
联系我们:
邮箱:2519696869@qq.com
QQ: 2519696869
电话:18066853083
微信:18066853083
公司介绍:
西安齐岳生物科技有限公司是集化学科研和定制与一体的高科技化学公司。业务范围包括化学试剂和产品的研发、生产、销售等。涉及产品为通用试剂的分销、非通用试剂的定制与研发,涵盖生物科技、化学品、中间体和化工材料等领域。
主营产品:COF、MOF单体系列:三蝶烯衍生物、金刚烷衍生物、四苯甲烷衍生物、peg、上转换、石墨烯、光电材料、点击化学、凝集素、载玻片、蛋白质交联剂、脂质体、蛋白、多肽、氨基酸、糖化学等。


