alginate-Cyanine5.5 近红外染料CY5.5标记海藻酸钠
产品名称:alginate-Cyanine5.5 近红外染料CY5.5标记海藻酸钠
产品描述:
中文名称:海藻酸钠-近红外染料CY5.5
英文名称:alginate-Cyanine5.5
纯度:95%+
存储条件:-20°C,避光,避湿
外观: 固体或粘性液体,取决于分子量
PEG分子量可?。?/span>350、550、750、1k、2k、34k、5k
包装:瓶装/袋装
溶解性:溶于大部分有机溶剂,如:DCM、DMF、DMSO、THF等等。在水中有很好的溶解性
注意事项:取用一定要干燥,避免频繁的溶解和冻干
地址:西安
厂家:西安齐岳生物
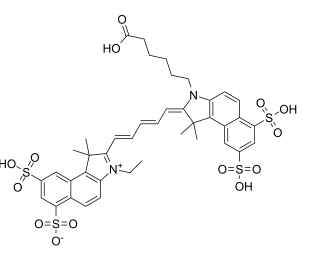
Cy5.5 (Sulfo-Cyanine5.5) 是用于标记生物分子的近红外荧光染料 (Ex=673 nm, Em=707 nm),如肽,蛋白质和寡核苷酸。我们可以提供荧光染料/ICG/CY3/CY3.5/CY5/CY5.5/CY7/CY7.5标记海藻酸钠
Cy5.5的结构式

相关产品:
alginate-Acrylates 海藻酸钠-丙烯酸酯
alginate-Lipoic acid 海藻酸钠-硫辛酸
alginate-Tosyl 海藻酸钠-甲苯磺酸酯
alginate-Acetylthio
alginate-Aminooxy 海藻酸钠-氨甲基
alginate-Nitrophenyl Carbonates 海藻酸钠-硝基苯碳酸盐
alginate-Epoxides 海藻酸钠-环氧化物
alginate-Valeric Acids 海藻酸钠-缬草酸
alginate-Acrylamide 海藻酸钠-丙烯酰胺
齐岳生物小编axc.2022.10.28
联系我们:
邮箱:2519696869@qq.com
QQ: 2519696869
电话:18066853083
微信:18066853083
公司介绍:
西安齐岳生物科技有限公司是集化学科研和定制与一体的高科技化学公司。业务范围包括化学试剂和产品的研发、生产、销售等。涉及产品为通用试剂的分销、非通用试剂的定制与研发,涵盖生物科技、化学品、中间体和化工材料等领域。
主营产品:COF、MOF单体系列:三蝶烯衍生物、金刚烷衍生物、四苯甲烷衍生物、peg、上转换、石墨烯、光电材料、点击化学、凝集素、载玻片、蛋白质交联剂、脂质体、蛋白、多肽、氨基酸、糖化学等。


