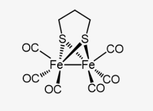
CO前药,[Fe2(μ-SCH2CH2CH2S)(CO)6],70789-83-2
产品名称:CO前药,[Fe2(μ-SCH2CH2CH2S)(CO)6],70789-83-2
产品描述:
CO前药,[Fe2(μ-SCH2CH2CH2S)(CO)6],70789-83-2
CAS:70789-83-2
英文名:Fe2(CO)6(μ-propanedithiolate)
分子式:Fe2S2C9H6O6
分子量:385.96

关于我们:
西安齐岳生物科技有限公司成立于2015年7月,是一家从事材料科学,高端化学,生命科学的科研试剂公司。2015年发展至今,公司经营产品种类多达上百种,销售产品十几万个,公司一直致力于为科研客户提供的产品服务,广阔的产品种类,有价格竞争力的科研试剂。
相关产品:
氰染料荧光标记点击化学叠氮
氰染料荧光标记聚乙二醇修饰点击化学叠氮
Cy3/Cy5.5/Cy7-Alkyne
Cy5-PEG-Alkyne
Cy3/Cy5.5/Cy7-Alk
Cy5-PEG-Alk
Cy5-PEG-BCN
氰染料荧光标记点击化学环丙烷环辛炔
氰染料荧光标记聚乙二醇修饰点击化学环丙烷环辛炔
Cy3/Cy5.5/Cy7-Cyclopropene
Cy5-PEG-Cyclopropene
氰染料荧光标记点击化学环丙烯
联系我们:
邮箱:2519696869@qq.com
QQ: 2519696869
电话:18066853083
微信:18066853083
公司介绍:
西安齐岳生物科技有限公司是集化学科研和定制与一体的高科技化学公司。业务范围包括化学试剂和产品的研发、生产、销售等。涉及产品为通用试剂的分销、非通用试剂的定制与研发,涵盖生物科技、化学品、中间体和化工材料等领域。
主营产品:COF、MOF单体系列:三蝶烯衍生物、金刚烷衍生物、四苯甲烷衍生物、peg、上转换、石墨烯、光电材料、点击化学、凝集素、载玻片、蛋白质交联剂、脂质体、蛋白、多肽、氨基酸、糖化学等。


