壳聚糖-胆固醇 Chitosan-Cholesterol
产品名称:壳聚糖-胆固醇 Chitosan-Cholesterol
产品描述:
中文名称:壳聚糖-胆固醇
英文名称:Chitosan-Cholesterol
别称:胆固醇修饰壳聚糖,胆固醇-壳聚糖
西安齐岳生物还可以提供PEG接枝修饰壳聚糖,壳聚糖-聚乙二醇-胆固醇,Cholesterol-PEG-Chitosan ,胆固醇-PEG-壳聚糖
纯度:95%+
存储条件:-20°C,避光,避湿
外观:固体或粘性液体,取决于分子量
PEG分子量可选:350、550、750、1k、2k、34k、5k
包装:瓶装/袋装
溶解性:溶于大部分有机溶剂,如:DCM、DMF、DMSO、THF等等。在水中有很好的溶解性
注意事项:取用一定要干燥,避免频繁的溶解和冻干
地址:西安
厂家:西安齐岳生物
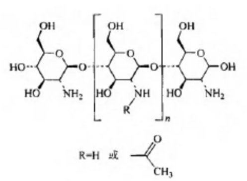
西安齐岳生物供应巯基化胆固醇修饰的mPEG接枝壳聚糖,壳聚糖呈现双螺旋结构特征,螺距为0.515 nm,6个糖残基组成一个螺旋平面。甲壳素和壳聚糖的氨基、羟基、N-乙酰氨基形成的氢键,形成了甲壳素和壳聚糖大分子的二级结构??蔷厶堑陌被咸烟遣谢囊问浇峁怪杏?/span>2种分子内氢键,一种壳聚糖分子间氢键是C3-OH与相邻的另一条壳聚糖分子链上的糖苷基形成的,另一种分子间氢键是氨基葡萄糖残基的C3-OH与相邻壳聚糖呋喃环上的氧原子形成的。甲壳素和壳聚糖的C3-OH、C2-NH2、C6-OH等官能团均可形成分子内和分子间氢键。

多糖产品目录:
DMPE-PEG-Chitosan 二肉豆蔻?;字R掖及?/span>-PEG-壳聚糖
DLPE-PEG-Chitosan 二月桂?;字R掖及?/span>-PEG-壳聚糖
Vitamin D-PEG-Chitosan 维生素D-PEG-壳聚糖
Vitamin E-PEG-Chitosan 维生素E-PEG-壳聚糖
Cholesterol-PEG-Chitosan 胆固醇-PEG-壳聚糖
C18 Stearic Acid-PEG-Chitosan 硬脂酸-PEG-壳聚糖
C16, palmitic acid-PEG-Chitosan 棕榈酸-PEG-壳聚糖
DMG-PEG-Chitosan 二肉豆蔻酰-sn-甘油-PEG-壳聚糖
DPG-PEG-Chitosan 双棕榈酸甘油酯-PEG-壳聚糖
厂家:西安齐岳生物科技有限公司
以上资料来自小编axc,2022.10.27
以上文中提到的产品仅用于科研,不能用于人体。
联系我们:
邮箱:2519696869@qq.com
QQ: 2519696869
电话:18066853083
微信:18066853083
公司介绍:
西安齐岳生物科技有限公司是集化学科研和定制与一体的高科技化学公司。业务范围包括化学试剂和产品的研发、生产、销售等。涉及产品为通用试剂的分销、非通用试剂的定制与研发,涵盖生物科技、化学品、中间体和化工材料等领域。
主营产品:COF、MOF单体系列:三蝶烯衍生物、金刚烷衍生物、四苯甲烷衍生物、peg、上转换、石墨烯、光电材料、点击化学、凝集素、载玻片、蛋白质交联剂、脂质体、蛋白、多肽、氨基酸、糖化学等。


