壳聚糖-阿奇霉素 Chitosan-Azithromycin
产品名称:壳聚糖-阿奇霉素 Chitosan-Azithromycin
产品描述:
中文名称:壳聚糖-阿奇霉素
英文名称:Chitosan-Azithromycin
别称:阿奇霉素修饰壳聚糖,阿奇霉素-壳聚糖
西安齐岳生物还可以提供PEG接枝修饰壳聚糖,壳聚糖-聚乙二醇-阿奇霉素,Azithromycin-PEG-Chitosan,阿奇霉素-PEG-壳聚糖
纯度:95%+
存储条件:-20°C,避光,避湿
外观:固体或粘性液体,取决于分子量
PEG分子量可?。?/span>350、550、750、1k、2k、34k、5k
包装:瓶装/袋装
溶解性:溶于大部分有机溶剂,如:DCM、DMF、DMSO、THF等等。在水中有很好的溶解性
注意事项:取用一定要干燥,避免频繁的溶解和冻干
地址:西安
厂家:西安齐岳生物
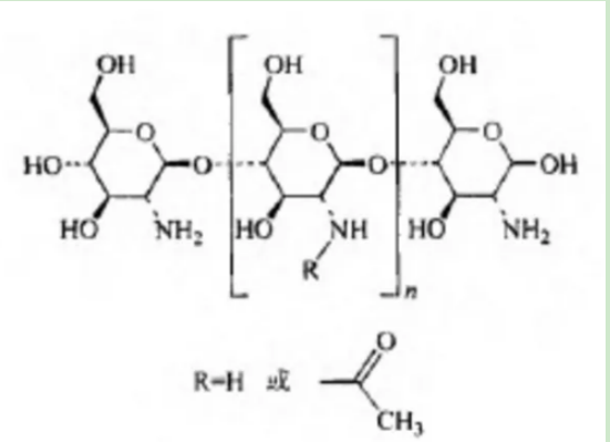
壳聚糖呈现双螺旋结构特征,螺距为0.515 nm,6个糖残基组成一个螺旋平面。甲壳素和壳聚糖的氨基、羟基、N-乙酰氨基形成的氢键,形成了甲壳素和壳聚糖大分子的二级结构??蔷厶堑陌被咸烟遣谢囊问浇峁怪杏?/span>2种分子内氢键,一种壳聚糖分子间氢键是C3-OH与相邻的另一条壳聚糖分子链上的糖苷基形成的,另一种分子间氢键是氨基葡萄糖残基的C3-OH与相邻壳聚糖呋喃环上的氧原子形成的。甲壳素和壳聚糖的C3-OH、C2-NH2、C6-OH等官能团均可形成分子内和分子间氢键。

相关产品:
壳聚糖-NH2 氨基修饰壳聚糖Chitosan
壳聚糖-COOH 羧酸功能化壳聚糖Chitosan
壳聚糖-MAL 马来酰亚胺改性壳聚糖Chitosan
壳聚糖-NHS N-羟基琥珀酰亚胺偶联壳聚糖Chitosan
壳聚糖-N3 叠氮修饰壳聚糖Chitosan
壳聚糖-Alkyne 炔基功能化壳聚糖Chitosan
壳聚糖-SH 巯基改性壳聚糖Chitosan
壳聚糖-Biotin 生物素修饰壳聚糖Chitosan
壳聚糖-CHO 醛基修饰壳聚糖Chitosan
壳聚糖-OPSS 巯基吡啶功能化壳聚糖Chitosan
以上资料来自齐岳生物小编axc,2022.11.08
以上文中提到的产品仅用于科研,不能用于人体。
联系我们:
邮箱:2519696869@qq.com
QQ: 2519696869
电话:18066853083
微信:18066853083
公司介绍:
西安齐岳生物科技有限公司是集化学科研和定制与一体的高科技化学公司。业务范围包括化学试剂和产品的研发、生产、销售等。涉及产品为通用试剂的分销、非通用试剂的定制与研发,涵盖生物科技、化学品、中间体和化工材料等领域。
主营产品:COF、MOF单体系列:三蝶烯衍生物、金刚烷衍生物、四苯甲烷衍生物、peg、上转换、石墨烯、光电材料、点击化学、凝集素、载玻片、蛋白质交联剂、脂质体、蛋白、多肽、氨基酸、糖化学等。


