葡萄糖-紫杉醇 Glucose-Paclitaxel
产品名称:葡萄糖-紫杉醇 Glucose-Paclitaxel
产品描述:
葡萄糖-紫杉醇 Glucose-Paclitaxel
中文名称:葡萄糖-紫杉醇
英文名称:Glucose-Paclitaxel
别称:紫杉醇修饰葡萄糖,PTX-葡萄糖
西安齐岳生物还可以提供PEG接枝修饰葡萄糖,葡萄糖-聚乙二醇-紫杉醇,Paclitaxel-PEG-Glucose,紫杉醇-PEG-葡萄糖
纯度:95%+
存储条件:-20°C,避光,避湿
外观:固体或粘性液体,取决于分子量
PEG分子量可选:350、550、750、1k、2k、34k、5k
包装:瓶装/袋装
溶解性:溶于大部分有机溶剂,如:DCM、DMF、DMSO、THF等等。在水中有很好的溶解性
注意事项:取用一定要干燥,避免频繁的溶解和冻干
地址:西安
厂家:西安齐岳生物
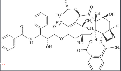
紫衫醇分子式为C47H51NO14,相对分子质量853.91。紫杉醇为白色结晶性粉末,无臭,无味,难溶于水,易溶于甲醇、乙腈、氯仿、丙酮等有机溶剂
紫杉醇的结构式

相关产品目录:
甘露糖-生物素
甘露糖-醛基
甘露糖-巯基吡啶
甘露糖-羟基
甘露糖-?;?/span>
甘露糖-硅烷
甘露糖-丙烯酸酯
甘露糖-硫辛酸
甘露糖-甲苯磺酸酯
甘露糖-氨甲基
甘露糖-硝基苯碳酸盐
甘露糖-环氧化物
甘露糖-缬草酸
甘露糖-丙烯酰胺
甘露糖-溴化物
甘露糖-乙烯砜
甘露糖-甲基丙烯酸酯
甘露糖-碘乙酸盐
厂家:西安齐岳生物科技有限公司
以上资料来自小编axc,2022.11.28
以上文中提到的产品仅用于科研,不能用于人体。
联系我们:
邮箱:2519696869@qq.com
QQ: 2519696869
电话:18066853083
微信:18066853083
公司介绍:
西安齐岳生物科技有限公司是集化学科研和定制与一体的高科技化学公司。业务范围包括化学试剂和产品的研发、生产、销售等。涉及产品为通用试剂的分销、非通用试剂的定制与研发,涵盖生物科技、化学品、中间体和化工材料等领域。
主营产品:COF、MOF单体系列:三蝶烯衍生物、金刚烷衍生物、四苯甲烷衍生物、peg、上转换、石墨烯、光电材料、点击化学、凝集素、载玻片、蛋白质交联剂、脂质体、蛋白、多肽、氨基酸、糖化学等。


