UDP-GlcNAc,91183-98-1,′-二磷酸尿嘧啶核苷-N-乙酰半乳糖胺二钠盐
产品名称:UDP-GlcNAc,91183-98-1,′-二磷酸尿嘧啶核苷-N-乙酰半乳糖胺二钠盐
产品描述:
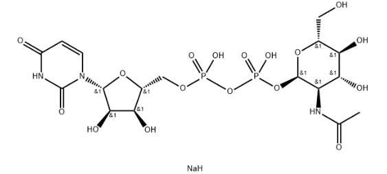
UDP-GlcNAc
UDP-GlcNAc,91183-98-1,′-二磷酸尿嘧啶核苷-N-乙酰半乳糖胺二钠盐
英文名称: UDP-ALPHA-D-N-ACETYLGLUCOSAMINE, DISODIUM SALT
中文名称: 5′-二磷酸尿嘧啶核苷-N-乙酰半乳糖胺二钠盐
分子式: C17H28N3NaO17P2
分子量: 631.35
CAS: 91183-98-1
规格 : 50mg,10mg,5mg
纯度 : >=95%
货期 : 现货
UDP-GlcNAc

产地:西安
用途:科研
品牌:西安齐岳生物
联系我们:
邮箱:2519696869@qq.com
QQ: 2519696869
电话:18066853083
微信:18066853083
公司介绍:
西安齐岳生物科技有限公司是集化学科研和定制与一体的高科技化学公司。业务范围包括化学试剂和产品的研发、生产、销售等。涉及产品为通用试剂的分销、非通用试剂的定制与研发,涵盖生物科技、化学品、中间体和化工材料等领域。
主营产品:COF、MOF单体系列:三蝶烯衍生物、金刚烷衍生物、四苯甲烷衍生物、peg、上转换、石墨烯、光电材料、点击化学、凝集素、载玻片、蛋白质交联剂、脂质体、蛋白、多肽、氨基酸、糖化学等。


