maltose-Hyaluronicacid 麦芽糖-透明质酸
产品名称:maltose-Hyaluronicacid 麦芽糖-透明质酸
产品描述:
maltose-Hyaluronicacid 麦芽糖-透明质酸
中文名称:麦芽糖-透明质酸
英文名称:maltose-Hyaluronicacid
别称:透明质酸修饰麦芽糖,HA-麦芽糖
纯度:95%+
存储条件:-20°C,避光,避湿
外观:固体或粘性液体,取决于分子量
PEG分子量可?。?/span>350、550、750、1k、2k、34k、5k
包装:瓶装/袋装
溶解性:溶于大部分有机溶剂,如:DCM、DMF、DMSO、THF等等。在水中有很好的溶解性
注意事项:取用一定要干燥,避免频繁的溶解和冻干
地址:西安
厂家:西安齐岳生物
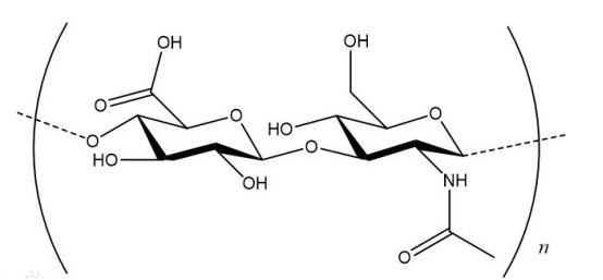
透明质酸,又称玻尿酸,分子式是(C14H21NO11)n,是D-麦芽糖醛酸及N-乙酰葡糖胺组成的双糖单位糖胺聚糖。西安齐岳生物还可以提供PEG接枝修饰麦芽糖,麦芽糖-聚乙二醇-透明质酸,Hyaluronicacid-PEG-maltose,透明质酸-PEG-麦芽糖

相关产品目录:
壳聚糖-聚乙二醇-茴香酰胺 Chitosan-PEG-anisamide
壳聚糖-聚乙二醇-雌性激素 Chitosan-PEG-Estrogen
壳聚糖-聚乙二醇-金刚烷 Chitosan-PEG-Adamantine
壳聚糖-聚乙二醇-阿奇霉素 Chitosan-PEG-Azithromycin
壳聚糖-聚乙二醇-氮川三乙酸-镍 Chitosan-PEG-NTA-NI
壳聚糖-聚乙二醇-RGD Chitosan-PEG-RGD
厂家:西安齐岳生物科技有限公司
以上资料来自小编axc,2022.12.02
以上文中提到的产品仅用于科研,不能用于人体。
联系我们:
邮箱:2519696869@qq.com
QQ: 2519696869
电话:18066853083
微信:18066853083
公司介绍:
西安齐岳生物科技有限公司是集化学科研和定制与一体的高科技化学公司。业务范围包括化学试剂和产品的研发、生产、销售等。涉及产品为通用试剂的分销、非通用试剂的定制与研发,涵盖生物科技、化学品、中间体和化工材料等领域。
主营产品:COF、MOF单体系列:三蝶烯衍生物、金刚烷衍生物、四苯甲烷衍生物、peg、上转换、石墨烯、光电材料、点击化学、凝集素、载玻片、蛋白质交联剂、脂质体、蛋白、多肽、氨基酸、糖化学等。


