2-甲?;?5,10,15,20-四苯基卟啉(FTPP)
产品名称:2-甲酰基-5,10,15,20-四苯基卟啉(FTPP)
产品描述:
中文名称:2-甲?;?5,10,15,20-四苯基卟啉
英文名称:FTPP
纯度:98%
包装:瓶装
地址:西安
溶解性:易溶于甲醇、DMF等有机溶剂,易溶于水
保存条件:-20℃以下冰冻、干燥。
厂家:西安齐岳生物科技有限公司
描述:
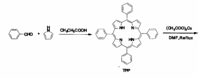
我们以苯甲醛和吡咯为原料通过Adler缩合的方法合成了四苯基卟啉 (TPP),以此为母体,采用Vilsmeier甲酰化反应合成了2-甲?;?5,10,15,20-四苯基卟啉(FTPP),以此为中间体,通过 Wittig反应合成了一系列四苯基卟啉衍生物.用傅里卟变换红外光谱,核磁共振氢谱,碳谱及MALDITOF质谱等手段对目标产物的结构进行了表征.并 且初步研究了化合物L3的光学性质,其主要发射峰在650 nm,是纯正的红光材料.
四苯基卟啉 (TPP)的合成路线

相关产品目录:
β-硝基四苯基卟啉锌配合物 [ZnTPP( NO2 )]
2,3,7,8,12,13,17,18-八氟-5,10,15,20-四(五氟苯基)卟啉 (F28TPPH2)
5,10,15,20四(五氟苯基)卟啉(TF5PPH2)
三种钌卟啉的配合物Ru(TPP)(CO),Ru(TPP)(CO)(Py)和Ru(TPP)(CO)(C5H4NCOOH)
四对甲基苯基卟啉(TPP)掺杂MEH-PPV
四对甲基苯基卟啉(TPP)掺杂聚乙烯咔唑(PVK)
光敏剂四苯基卟啉锌(ZnTPP)
以上文中提到的产品仅用于科研,不能用于人体。
联系我们:
邮箱:2519696869@qq.com
QQ: 2519696869
电话:18066853083
微信:18066853083
公司介绍:
西安齐岳生物科技有限公司是集化学科研和定制与一体的高科技化学公司。业务范围包括化学试剂和产品的研发、生产、销售等。涉及产品为通用试剂的分销、非通用试剂的定制与研发,涵盖生物科技、化学品、中间体和化工材料等领域。
主营产品:COF、MOF单体系列:三蝶烯衍生物、金刚烷衍生物、四苯甲烷衍生物、peg、上转换、石墨烯、光电材料、点击化学、凝集素、载玻片、蛋白质交联剂、脂质体、蛋白、多肽、氨基酸、糖化学等。


