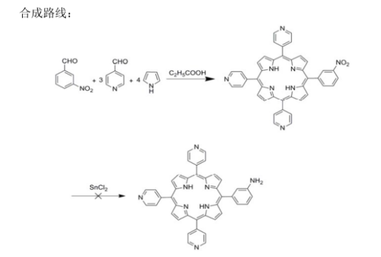
5-(3-氨基苯基)-10, 15, 20-三吡啶基卟啉(APPP)
产品名称:5-(3-氨基苯基)-10, 15, 20-三吡啶基卟啉(APPP)
产品描述:
中文名称:5-(3-氨基苯基)-10, 15, 20-三吡啶基卟啉
英文名称:APPP
纯度:98%
包装:瓶装
地址:西安
溶解性:易溶于甲醇、DMF等有机溶剂,易溶于水
保存条件:-20℃以下冰冻、干燥。
厂家:西安齐岳生物科技有限公司

相关产品目录:
5-(4-羧基苯基)-10,15,20-三苯基卟啉(CTPP)
5-(4-羧基苯基)-10,15,20-三苯基卟啉锌(ZnCTPP)
5-(4-氨基苯基)-10,15,20-三苯基卟啉(ATPP)
5-(4-氨基苯基)-10,15,20-三苯基卟啉锌(ZnATPP)
反式双氨基四苯基卟啉(trans-dA-TPP)
反式双氨基四苯基卟啉修饰电极(trans-dA-TPP/GCE)
5,10,15,20-四苯基铁(Ⅲ)卟啉氯化物(Fe(TPP)CD
以上文中提到的产品仅用于科研,不能用于人体。
联系我们:
邮箱:2519696869@qq.com
QQ: 2519696869
电话:18066853083
微信:18066853083
公司介绍:
西安齐岳生物科技有限公司是集化学科研和定制与一体的高科技化学公司。业务范围包括化学试剂和产品的研发、生产、销售等。涉及产品为通用试剂的分销、非通用试剂的定制与研发,涵盖生物科技、化学品、中间体和化工材料等领域。
主营产品:COF、MOF单体系列:三蝶烯衍生物、金刚烷衍生物、四苯甲烷衍生物、peg、上转换、石墨烯、光电材料、点击化学、凝集素、载玻片、蛋白质交联剂、脂质体、蛋白、多肽、氨基酸、糖化学等。


