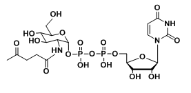
UDP-2-carbonyl-GlcNAc 羧基修饰尿苷二磷酸
产品名称:UDP-2-carbonyl-GlcNAc 羧基修饰尿苷二磷酸
产品描述:
UDP-2-carbonyl-GlcNAc
羧基修饰尿苷二磷酸
羧基标记核苷酸糖

用途:科研
纯度:≥95%
保存时间: 1年
产地:西安
供应商:西安齐岳创科生物科技有限公司
注意事项:仅用于科研不用于人体
核苷酸糖是核苷二磷酸或核苷一磷酸与不同单糖异头体羟基形成的衍生物,是糖类合成或相互转换时的活化形式,如GDP-Fuc,CMP-SA,UDP-Gal。
关于我们:
西安齐岳创科生物是一家从事经营进口科研试剂销售公司,科研试剂主要涉及生命科学、医学及药学。 我们主要供应peg衍生物、氨基酸、玻片、光电化学、杂环小分子、荧光染料、糖化学、小分子半导体砌块、有机硅、有机氟、倍半硅氧烷、蛋白及糖类偶联、产品、超分子主体材料、大环配体、点击化学、电镀化学品等等产品。
相关产品:
CMP-Sialic acid cas:3063-71-6
GDP-L-Fuc cas:15839-70-0 GDP-L-岩藻糖
GDP-Man cas:103301-73-1 GDP-甘露糖
UDP-D-Xylose cas:3616-06-6 UDP-D-木糖
UDP-Glc cas:117756-22-6,28053-08-9 UDP-葡萄糖
UDP-Gal cas:137868-52-1,2956-16-3
UDP-GlcA cas:108320-87-2 UDP-葡萄糖醛酸
UDP-GalA cas:148407-07-2
537039-67-1c cas:91183-98-1
UDP-GalNAc cas:108320-87-2
UDP-GlcNAz
联系我们:
邮箱:2519696869@qq.com
QQ: 2519696869
电话:18066853083
微信:18066853083
公司介绍:
西安齐岳生物科技有限公司是集化学科研和定制与一体的高科技化学公司。业务范围包括化学试剂和产品的研发、生产、销售等。涉及产品为通用试剂的分销、非通用试剂的定制与研发,涵盖生物科技、化学品、中间体和化工材料等领域。
主营产品:COF、MOF单体系列:三蝶烯衍生物、金刚烷衍生物、四苯甲烷衍生物、peg、上转换、石墨烯、光电材料、点击化学、凝集素、载玻片、蛋白质交联剂、脂质体、蛋白、多肽、氨基酸、糖化学等。


