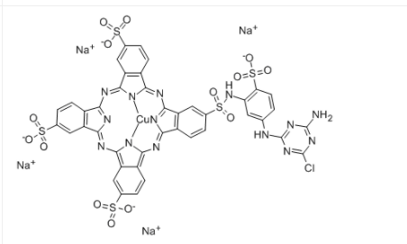
cas:12225-39-7 铜盐,[[[[5-[(4-氨基-6-氯-1,3,5-三嗪-2-基)氨基]-2-磺苯基]氨基
大环化合物
在分子结构中具有大环(多员环)的化合物通常称为大环化合物(Macrocycle)而这种大环化合物在天然产物中也占有重要的地位,很多都具有很好的生物活性,我们可以提供类似于醚冠类大环化合物,杯芳烃大环化合物、卟啉酞菁类大环化合物和大环配体NOTA,DOTA和中间体产品。
在分子结构中具有大环(多员环)的化合物通常称为大环化合物(Macrocycle)而这种大环化合物在天然产物中也占有重要的地位,很多都具有很好的生物活性,我们可以提供类似于醚冠类大环化合物,杯芳烃大环化合物、卟啉酞菁类大环化合物和大环配体NOTA,DOTA和中间体产品。