全国高端商务伴游模特预约,400元4小时不限次数联系方式电话,2025小姐威客信息,全国24小时上门茶

19

2022-09

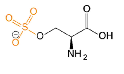
磺酸化丝氨酸,O-Sulfo-L-serine,Ser(SO3H2)

磺酸化多肽英文名:O-Sulfo-L-serine中文名:磺酸化丝氨酸简写: Ser(SO3H2) 西安齐岳生物科技有限公司提供各种复杂的多肽衍生物定制服务:1. 提供各种复杂、特殊的多肽产品定制;2. 拥有齐全的多肽产品备库可提供几千多种产品种类;

19

2022-09

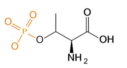
O-Phospho-L-Threonine 磷酸化苏氨酸 pThr

O-Phospho-L-Threonine 磷酸化苏氨酸 pThr英文名:O-Phospho-L-Threonine中文名:磷酸化苏氨酸简写: Thr(PO3H2)或pThr 相关产品:多肽-聚乙二醇-氨基RGD-PEG-Amine多肽-聚乙二醇-羧

19

2022-09

O-Phospho-L-Tyrosine 磷酸化酪氨酸 pTyr

英文名:O-Phospho-L-Tyrosine中文名:磷酸化酪氨酸简写: Tyr(PO3H2)或pTyr产地:西安厂家:西安齐岳生物科技有限公司温馨提醒:仅供科研,不能用于人体实验

19

2022-09

O-Phospho-L-Tyrosine 磷酸化酪氨酸 pTyr

英文名:O-Phospho-L-Tyrosine中文名:磷酸化酪氨酸简写: Tyr(PO3H2)或pTyr磷酸化及磺酸化修饰多肽磷酸化可以帮助研究磷酸化对多肽和蛋白结构的影响以及蛋白激酶的作用机理,齐岳生物已经成功地为客户合成了大量的丝氨酸、苏氨酸和

19

2022-09

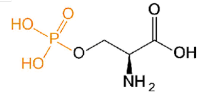
O-Phospho-L-serine 磷酸化丝氨酸 Ser(PO3H2)或pSer

磷酸化及磺酸化修饰多肽磷酸化可以帮助研究磷酸化对多肽和蛋白结构的影响以及蛋白激酶的作用机理,齐岳生物已经成功地为客户合成了大量的丝氨酸、苏氨酸和酪氨酸等磷酸化多肽。磷酸化英文名:O-Phospho-L-serine中文名:磷酸化丝氨酸简写: Ser(

19

2022-09

订书肽 Hydrocarbon stapled peptides

订书肽Hydrocarbon stapled peptides又称订书肽,是在特定位点引入化学交联的一种全烃化装订,将迷你蛋白锁定在他们的生物活性的α-螺旋构象中的一种多肽环化方式。齐岳生物的订书肽,生物活性高,质量稳定。 西安齐岳生物可以为您提供全

19

2022-09

一对及多对二硫键成环,-SS修饰多肽

一对及多对二硫键成环,-SS修饰多肽二硫键成环是通过Cys侧链巯基氧化后形成齐岳生物可以稳定合成含有一对、二对及多对Cys之间二硫键成环的多肽。 西安齐岳生物提供的服务范围: 普通线性肽:毫克至公斤级。纯度范围:粗品、脱盐,>75%、 >

19

2022-09

酰胺键-多肽侧链成环

酰胺键-多肽侧链成环齐岳生物通过对Lys或者Orn侧链氨基以及Glu或者Asp侧链羧基选择性?;ぜ巴殉梢允迪侄嚯淖既肺坏愠苫?。齐岳生物侧链成环策略技术成熟,可合成稳定的产品。西安齐岳生物科技有限公司提供各种复杂的多肽衍生物定制服务:1. 提供各种复

19

2022-09

环化的多肽,酰胺键-多肽首尾成环

环化的多肽:环化修饰多肽环化修饰是提高其稳定性和生物活性的重要手段之一,齐岳生物通过固相合成与液相合成相结合的方法,可以通过酰胺键、二硫键实现分子内及分子间的环化修饰。酰胺键-多肽首尾成环齐岳生物通过对多肽N端氨基酸a-氨基差异化?;び胪殉缓蠼?/p>

29

2022-08

多肽偶联蛋白BSA,OVA,THY定制

多肽的耦联多肽的偶联有三种方式:偶联在多肽的N端的氨基酸上;偶联在多肽的C端氨基酸上;偶联在多肽序列中的半胱氨酸上。多肽-BSA定制多肽-OVA定制多肽-牛甲状腺球蛋白定制描述:用于与多肽耦联的载体蛋白有多种,其中常用的是keyhole limpet

点击这里给我发消息

微信客服

微信联系

联系电话 : 18066853083

邮箱 : 2265195031@qq.com

地址 : 陕西省西安市莲湖区永新路18号天赐苑6幢10302-B80号

齐岳微信公众号

齐岳微信公众号

齐岳官方微信

齐岳官方微信

ALL Rights Reserved. 西安齐岳生物科技有限公司版权所有. 陕ICP备20008861号-4