材料科学
高端化学
生命科学
发光材料
功能性化学
分析化学
其他产品
纳米材料定制
PEG衍生物
荧光标记定制
MOF材料定制
小分子定制
多肽定制
其他材料定制
联系我们
在线留言
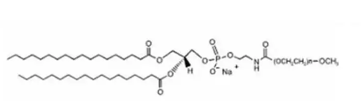
178744-28-0 mPEG1000-DSPE 甲氧基-聚乙二醇-磷脂酰乙醇胺
UV Cleavable Biotin-PEG2-Azide 1192802-98-4 紫外可分解生物素-二乙二醇-叠氮
6-arm PEG-NH2 六臂聚乙二醇胺
FMOC-PEG-COOH 芴甲氧羰基-聚乙二醇-羧基
FITC-PEG-NHS 荧光素-聚乙二醇-琥珀酰亚胺
DMPE-PEG-Mal 磷脂-聚乙二醇-马来酰亚胺
DOPA-PEG-RGD 多肽-聚乙二醇-多巴胺
cRGD-PEG-Dopamine 五元环肽-聚乙二醇-多巴胺
DOPA-PEG-iRGD 八元环肽-聚乙二醇-多巴胺
微信客服
联系电话 : 18066853083
邮箱 : 2265195031@qq.com
地址 : 陕西省西安市莲湖区永新路18号天赐苑6幢10302-B80号
产品分类
定制产品
定制技术
技术文章
资讯信息
齐岳微信公众号
齐岳官方微信