4-Arm PEG-An 4臂星形-聚乙二醇-蒽 荧光标记
产品名称:4-Arm PEG-An 4臂星形-聚乙二醇-蒽 荧光标记
产品描述:
4-Arm PEG-An 4臂星形-聚乙二醇-蒽 荧光标记
Poly(ethylene oxide), (anthracen-9-yl)-terminated 4-arm star polymer

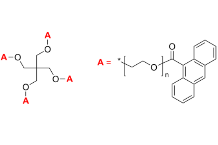
中文名称:4臂星形-聚乙二醇-蒽 荧光标记
英文简称:4-Arm PEG-An
英文全称:Poly(ethylene oxide), (anthracen-9-yl)-terminated 4-arm star polymer / Core: pentaerythritol
英文别名:Poly(ethylene glycol)
CAS号:n/a; PEG: 25322-68-3
分子式:(C2H4O)n
主链结构:多臂星形
主要成分:PEO/PEG
亲疏水性:亲水
产品类型:荧光标记高分子
荧光/发光:蒽
外观/形态:固态粉末或颗粒(以实际外观为准)
用途:科研
包装: 瓶装
供应商:西安齐岳生物科技有限公司
温馨提示:仅用于科研!
西安齐岳生物科技有限公司提供PLGA,PCL,PAMAM,PAA等聚合物的定制合成,提供基本活性基团修饰,荧光标记等等
相关产品:
聚谷氨酸-聚乙二醇-叶酸,PGA-PEG-Folate
甲氧基聚乙二醇聚谷氨酸 mPEG-b-PGA
聚谷氨酸聚乙二醇聚谷氨酸 PGA-b-PEG-b-PGA
聚谷氨酸-聚乙二醇-氨基,PGA-PEG-NH2
聚谷氨酸-聚乙二醇-羧基,PGA-PEG-COOH
聚谷氨酸-聚乙二醇-巯基,PGA-PEG-SH
聚谷氨酸-聚乙二醇-叠氮,PGA-PEG-N3
聚谷氨酸-聚乙二醇-马来酰亚胺,PGA-PEG-MAL
聚苯丙氨酸-聚乙二醇-活性酯,PPHE-PEG-NHS
聚苯丙氨酸-聚乙二醇-氨基,PPHE-PEG-NH2
联系我们:
邮箱:2519696869@qq.com
QQ: 2519696869
电话:18066853083
微信:18066853083
公司介绍:
西安齐岳生物科技有限公司是集化学科研和定制与一体的高科技化学公司。业务范围包括化学试剂和产品的研发、生产、销售等。涉及产品为通用试剂的分销、非通用试剂的定制与研发,涵盖生物科技、化学品、中间体和化工材料等领域。
主营产品:COF、MOF单体系列:三蝶烯衍生物、金刚烷衍生物、四苯甲烷衍生物、peg、上转换、石墨烯、光电材料、点击化学、凝集素、载玻片、蛋白质交联剂、脂质体、蛋白、多肽、氨基酸、糖化学等。


