PLKS 聚L赖氨酸琥珀酸酯 聚氨基酸-均聚物
产品名称:PLKS 聚L赖氨酸琥珀酸酯 聚氨基酸-均聚物
产品描述:
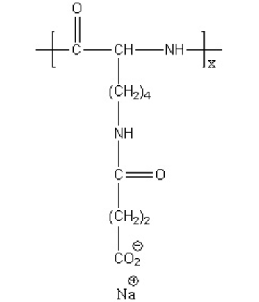
PLKS 聚L赖氨酸琥珀酸酯 聚氨基酸-均聚物
Poly(L-lysine succinylated)

中文名称:聚L赖氨酸琥珀酸酯
英文简称:PLKS
英文全称:Poly(L-lysine succinylated)
CAS号:n/a
主链结构:直链均聚物
主要成分:PLKS
亲疏水性:亲水
产品类型:聚氨基酸
荧光/发光:无
外观/形态:固态粉末或颗粒(以实际外观为准)
纯度:90-100%
关于我们:
西安齐岳生物科技有限公司成立于2015年7月,是一家从事材料科学,高端化学,生命科学的科研试剂公司。2015年发展至今,公司经营产品种类多达上百种,销售产品十几万个,公司一直致力于为科研客户提供的产品服务,广的产品种类,有价格竞争力的科研试剂。
相关产品:
PLD 聚L天冬氨酸钠盐 聚氨基酸-均聚物
Poly(L-aspartic acid sodium salt)
CAS#34345-47-6
PLD(H) 聚L天冬氨酸 聚氨基酸-均聚物
Poly(L-aspartic acid)
CAS#25608-40-6
PLD(H) 聚L天冬氨酸 聚氨基酸-均聚物
Poly(L-aspartic acid)
CAS#25608-40-6
N3-PLE 聚L谷氨酸钠盐-叠氮基 聚氨基酸 端基修饰
Poly(L-glutamic acid sodium salt) Azide
N3-PLE 聚L谷氨酸钠盐-叠氮基 聚氨基酸 端基修饰
Poly(L-glutamic acid sodium salt) Azide
TS-PLE 聚L谷氨酸钠盐-硫醇 聚氨基酸 端基修饰
Poly(L-glutamic acid sodium salt) Thiol
联系我们:
邮箱:2519696869@qq.com
QQ: 2519696869
电话:18066853083
微信:18066853083
公司介绍:
西安齐岳生物科技有限公司是集化学科研和定制与一体的高科技化学公司。业务范围包括化学试剂和产品的研发、生产、销售等。涉及产品为通用试剂的分销、非通用试剂的定制与研发,涵盖生物科技、化学品、中间体和化工材料等领域。
主营产品:COF、MOF单体系列:三蝶烯衍生物、金刚烷衍生物、四苯甲烷衍生物、peg、上转换、石墨烯、光电材料、点击化学、凝集素、载玻片、蛋白质交联剂、脂质体、蛋白、多肽、氨基酸、糖化学等。


