DSPE-PEG-GE11,磷脂-聚乙二醇-肿瘤细胞表皮生长因子肽GE11
产品名称:DSPE-PEG-GE11,磷脂-聚乙二醇-肿瘤细胞表皮生长因子肽GE11
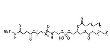
产品描述:
DSPE-PEG-GE11,MW:3400

中文:磷脂-聚乙二醇-肿瘤细胞表皮生长因子肽GE11
英文:DSPE-PEG-GE11
所属分类:DSPE PEG
DSPE-PEG-GE11磷脂聚乙二醇细胞表皮生长因子肽GE11可做成胶束,EGFR的靶向多肽GE11,该多肽已经被广泛应用于基因和药物的肿瘤靶向导入。磷脂胶束具有较好的肿瘤组织穿透性,对其引入靶向性有可能获得更好的肿瘤组织药物聚集效果。
多肽GE11(序列:YHWYGYTPQNVI)是通过噬菌体肽库筛选技术获得的小分子多肽,由11个氨基酸组成,与大分子天然配体相比,多肽配体的优点:相对分子分子质量小,免疫原性低;易扩散及靶向性高,可以满足靶向的要求;对细胞的生长没有影响。
类型:多肽
用途:科研
包装: 瓶装
供应商:西安齐岳生物科技有限公司
温馨提示:仅用于科研!
西安齐岳生物科技有限公司成立于2015年7月,是一家从事材料科学,高端化学,生命科学的科研试剂公司。2015年发展至今,公司经营产品种类多达上百种,销售产品十几万个,公司一直致力于为科研客户提供优质的产品服务,广泛的产品种类,有价格竞争力的科研试剂。
相关产品:
羧基-聚乙二醇-反式环辛烯
马来酰亚胺-聚乙二醇-反式环辛烯
四嗪-聚乙二醇-马来酰亚胺
叠氮-聚乙二醇-反式环辛烯
四嗪-聚乙二醇-羧基
巯基-聚乙二醇-反式环辛烯
叶酸聚乙二醇二苯基环辛炔
磷脂-聚乙二醇-反式环辛烯
叶酸-聚乙二醇-反式环辛烯
荧光素-聚乙二醇-反式环辛烯
CY5-聚乙二醇-反式环辛烯
CY7-聚乙二醇-反式环辛烯
磷脂聚乙二醇二苯基环辛炔
环肽-聚乙二醇-反式环辛烯
四嗪-聚乙二醇-二苯基环辛炔
线肽-聚乙二醇-反式环辛烯
联系我们:
邮箱:2519696869@qq.com
QQ: 2519696869
电话:18066853083
微信:18066853083
公司介绍:
西安齐岳生物科技有限公司是集化学科研和定制与一体的高科技化学公司。业务范围包括化学试剂和产品的研发、生产、销售等。涉及产品为通用试剂的分销、非通用试剂的定制与研发,涵盖生物科技、化学品、中间体和化工材料等领域。
主营产品:COF、MOF单体系列:三蝶烯衍生物、金刚烷衍生物、四苯甲烷衍生物、peg、上转换、石墨烯、光电材料、点击化学、凝集素、载玻片、蛋白质交联剂、脂质体、蛋白、多肽、氨基酸、糖化学等。


