红色荧光素标记海藻酸钠 Rhodamine-Alginate/TRITC-Alginate
产品名称:红色荧光素标记海藻酸钠 Rhodamine-Alginate/TRITC-Alginate
产品描述:
产品名称:红色荧光素标记海藻酸钠
英文简称:Rhodamine-Alginate/TRITC-Alginate
英文简介:
Alginate is labeled with rhodamine, Ex/Em wavelength 552/575 nm. Purity: >95% powder. Degree of substitution: 1 mol % substitution and at least one dye molecule per polymer.
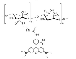
结构式:

波长:552 nm-575nm
Viscosity: 200–500 mPa.s,/100-300 cP/600-900 cP/1,000-1,500 cP
纯度:95%+
状态:红色粉末
厂家:西安齐岳生物科技有限公司
相关产品:
水溶性吲哚菁绿-叠氮
disulfo-ICG Bis-NHS Ester
水溶性ICG Bis-NHS Ester
水溶性吲哚菁绿-活性酯(Bis)
disulfo-ICG Bis-Thiol
水溶性ICG Bis-SH
水溶性吲哚菁绿-巯基(Bis)
disulfo-ICG DBCO
水溶性ICG DBCO
水溶性吲哚菁绿-二苯基环辛炔
diSulfo-ICG Hydrazide
水溶性ICG Hydrazide
水溶性吲哚菁绿-酰肼
diSulfo-ICG Maleimide
水溶性ICG Maleimide
水溶性吲哚菁绿-马来酰亚胺
联系我们:
邮箱:2519696869@qq.com
QQ: 2519696869
电话:18066853083
微信:18066853083
公司介绍:
西安齐岳生物科技有限公司是集化学科研和定制与一体的高科技化学公司。业务范围包括化学试剂和产品的研发、生产、销售等。涉及产品为通用试剂的分销、非通用试剂的定制与研发,涵盖生物科技、化学品、中间体和化工材料等领域。
主营产品:COF、MOF单体系列:三蝶烯衍生物、金刚烷衍生物、四苯甲烷衍生物、peg、上转换、石墨烯、光电材料、点击化学、凝集素、载玻片、蛋白质交联剂、脂质体、蛋白、多肽、氨基酸、糖化学等。


