稀土铕配合物Eu(TTA)3phen
产品名称:稀土铕配合物Eu(TTA)3phen
产品描述:
稀土铕配合物Eu(TTA)3phen
西安齐岳生物科技有限公司是光电材料供应商,西安齐岳生物可以提供各种基础金属配合物发光材料(铕Eu 铱Ir、钌Ru、钴、镍Ni、铕Eu、钯Pd、铽Tb、Zn2+、Cu+铜、Ag银、金Au)等产品以及有机-无机杂化配合物发光材料,均有现货,订购请咨询。
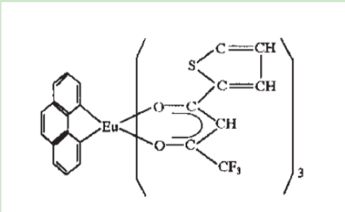
稀土铕配合物Eu(TTA)3phen结构式

描述:将稀土配合物Eu(TTA)3phen分散于异丙醇中,通过水解正硅酸乙酯(TEOS)的方法制备了新型荧光材料二氧化硅包覆稀土配合物SiO2/Eu(TTA)3phen.荧光光谱表明二氧化硅包覆后的稀土配合物荧光强度增加了将近一倍,同时,发现Eu3+在617.4nm附近的发射峰变得非常尖锐,而未经二氧化硅包覆的Eu(TTA)3phen在617.4nm附近只是非常不明显的肩峰.这说明了二氧化硅包覆稀土配合物后,Eu(TTA)3phen的结构变得更加刚性化,从而使得荧光强度增强.荧光寿命实验结果表明二氧化硅包覆后的稀土配合物寿命减少,这正是由于稀土配合物分子结构刚性化造成的。
相关产品目录:
二(1-苯基-异喹啉)(乙酰丙酮)合铱(III)
(OC-6-33)-双[2-(2-苯并噻唑基-KN3)苯基-KC](2,4-戊二酮酸-KO,KO')铱
乙酰丙酮酸二(2,3-二苯基喹喔啉)合铱
4,6-双(3,5-二(3-吡啶)基苯基)-2-甲基嘧啶
双(2-(3,5-二甲基苯基)喹啉-C2,N )(乙酰丙酮)合铱(III)
双(2-(3,5-二甲基苯基)喹啉-C2,N’)(乙酰丙酮基)铱(III)
厂家:西安齐岳生物科技有限公司
以上资料来自小编axc,2022.11.23
以上文中提到的产品仅用于科研,不能用于人体。
联系我们:
邮箱:2519696869@qq.com
QQ: 2519696869
电话:18066853083
微信:18066853083
公司介绍:
西安齐岳生物科技有限公司是集化学科研和定制与一体的高科技化学公司。业务范围包括化学试剂和产品的研发、生产、销售等。涉及产品为通用试剂的分销、非通用试剂的定制与研发,涵盖生物科技、化学品、中间体和化工材料等领域。
主营产品:COF、MOF单体系列:三蝶烯衍生物、金刚烷衍生物、四苯甲烷衍生物、peg、上转换、石墨烯、光电材料、点击化学、凝集素、载玻片、蛋白质交联剂、脂质体、蛋白、多肽、氨基酸、糖化学等。


