DSPE-PEG2K-TAT(YGRKKRRQRRR) 磷脂-聚乙二醇2k-靶向穿膜肽TAT
产品名称:DSPE-PEG2K-TAT(YGRKKRRQRRR) 磷脂-聚乙二醇2k-靶向穿膜肽TAT
产品描述:
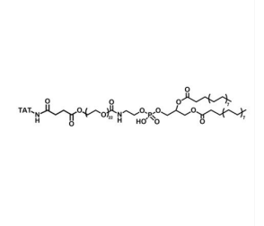
DSPE-PEG2K-TAT(YGRKKRRQRRR)
磷脂-聚乙二醇2k-靶向穿膜肽TAT DSPE- PEG2k-TAT
英文名称:DSPE-PEG2k-TAT
中文名称:磷脂-聚乙二醇2k-靶向穿膜肽TAT
多肽序列: YGRKKRRQRRR
外 观 : 半固体或固体,取决于分子量。
溶解性:有机溶剂等
分子量:1000、2000、3400、5000、10000
注意事项:避免频繁解冻,现配现用,保持干燥,避光。
存储条件:-20℃以下冰冻、干燥、避光。
长期保存:惰性(氩气或者氮气)?;ぁ2坊灾蔇SPE-PEG-TAT靶向穿膜肽TAT -聚乙二醇-磷脂具有强的细胞穿透力且能直接作用于细胞核。
本产品仅用于研究和制造用途,不能用于人类或诊断用途。
包装:瓶装
产地:西安
用途:仅用于科研
品牌:西安齐岳创科生物
关于我们:
西安齐岳创科生物是一家从事经营进口科研试剂销售公司,科研试剂主要涉及生命科学、医学及药学。 我们主要供应peg衍生物、氨基酸、玻片、光电化学、杂环小分子、荧光染料、糖化学、小分子半导体砌块、有机硅、有机氟、倍半硅氧烷、蛋白及糖类偶联、产品、超分子主体材料、大环配体、点击化学、电镀化学品等等产品。
相关产品:
羧基聚乙二醇羧基 羧基PEG羧基 乙酸聚乙二醇乙酸 聚乙二醇二羧基 聚乙二醇二乙酸
二丁二酸基聚乙二醇 丁二酸PEG丁二酸
胺聚乙二醇胺 氨基聚乙二醇氨基 聚乙二醇二胺 聚乙二醇二氨基 氨基PEG氨基
二乙烯磺酸酯聚乙二醇 乙烯磺酸酯聚乙二醇 乙烯磺酸酯
二戊二酸基聚乙二醇 戊二酸PEG戊二酸
二丁二酰胺酸基聚乙二醇 酰胺丁二酸PEG酰胺丁二酸
酰肼聚乙二醇酰肼 酰肼PEG酰肼 聚乙二醇二酰肼
二戊二酰胺酸基聚乙二醇 酰胺戊二酸PEG酰胺戊二酸
联系我们:
邮箱:2519696869@qq.com
QQ: 2519696869
电话:18066853083
微信:18066853083
公司介绍:
西安齐岳生物科技有限公司是集化学科研和定制与一体的高科技化学公司。业务范围包括化学试剂和产品的研发、生产、销售等。涉及产品为通用试剂的分销、非通用试剂的定制与研发,涵盖生物科技、化学品、中间体和化工材料等领域。
主营产品:COF、MOF单体系列:三蝶烯衍生物、金刚烷衍生物、四苯甲烷衍生物、peg、上转换、石墨烯、光电材料、点击化学、凝集素、载玻片、蛋白质交联剂、脂质体、蛋白、多肽、氨基酸、糖化学等。


