订书肽合成技术
产品名称:订书肽合成技术
产品描述:
订书肽合成技术
西安齐岳生物的订书肽合成技术,成功率高,质量稳定。
订书肽发展简介
订书肽是基于多肽需形成α-螺旋通过细胞膜进入细胞的需求上发展起来的。生物体内的多种生命进程调节都是通过蛋白质与蛋白质之间的相互作用来实现的。例如病毒的自组装,细胞的生长,分裂,分化等过程。而通常蛋白-蛋白相互作用的界面太大,从而使小分子药物很难对其进行靶向定位,达到高效特异性地阻断这种相互作用,展现良好的治疗效果。蛋白类药物因为很难顺利通过细胞膜所以也达不到直接靶向细胞内相互作用的效果,因此,研究者们开始寻求一种能够克服这两种药物缺点的既能够进入细胞膜又能特异性靶向蛋白-蛋白相互作用的新的药物分子。
研究表明,具有α-螺旋结构和富含正电荷的多肽可以穿过细胞膜。因此,人们开发了利用二硫键与分子内酰胺键作为支架的α-螺旋结构,但是,这些支架在生理环境下均不能稳定存在。2000年,Verdine等发展了一种用碳碳键作为支架来稳定多肽α-螺旋结构的方法,由此方法得到的多肽成为订书肽(Stapled peptides)。订书肽有更高的α-螺旋程度,结合能力强,能通过细胞膜,难被蛋白酶水解,在生物体内半衰期长等优点。订书肽合成
订书肽合成策略为在固相合成肽链过程中引入两个含有α-甲基,α-烯基的非天然氨基酸,然后两个非天然氨基酸之间发生烯烃复分解反应(RCM)环化构成稳定α-螺旋结构构象的全碳支架,从而合成订书肽。
1) α-甲基,α-烯基的非天然氨基酸的合成:

α-甲基,α-烯基的非天然氨基酸的一般结构
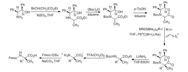
通常,在三乙胺的催化下,手性辅基试剂(1R,2S)-2-氨基-1,2-二苯乙醇与2-溴丙酸乙酯发生亲核取代反应,并采用(Boc)2O?;ぷ杂砂坊?;接下来,在对甲苯磺酸的催化下,环状的含有手性辅基的丙氨酸前体得以高效生产,在碱性催化剂和低温下,烯基基团高效立体选择性的连接到氨基酸的α-位,最后,在氨基锂条件下脱去手性辅基,并采用Fmoc?;う?胺基。

α-甲基,α-烯基的非天然氨基酸的合成路线
2) 订书肽的合成:
通常采用Fmoc-固相多肽合成方法制备订书肽,两个用于构象锁定的α-甲基,α-烯基的非天然氨基酸之间一般间隔两个,三个或者六个氨基酸,多肽合成完毕后,采用钌作催化剂进行烯烃复分解反应(RCM),如果实验需要,还可以进行生物素(Biotin),荧光染色等修饰,最后,将目标多肽从树脂上切割下来进行纯化得到成品。

西安齐岳生物提供的服务范围: 普通线性肽:毫克至公斤级。
纯度范围:粗品、脱盐,>75%、 >80%、 >85%、 >90%、 >95%、 > 98%。
修饰肽:脂肽,磷酸化(Ser、Thr、Tyr), 环化(酰胺环、二硫键环),荧光标记(FAM等),生物素标记(Biotin),复合抗原(MAP)等。
不同多肽结构:线性多肽、分支多肽、不对称分支多肽、环状多肽。
不同规模:单条肽,批量肽,肽库。
抗原肽:KLH, BSA, 0VA等蛋白交联。
定制分装:按照客户要求对多肽进行分装(每条多肽10管以内免费分装)。
厂家:西安齐岳生物科技有限公司
温馨提醒:仅供科研,不能用于人体实验
联系我们:
邮箱:2519696869@qq.com
QQ: 2519696869
电话:18066853083
微信:18066853083
公司介绍:
西安齐岳生物科技有限公司是集化学科研和定制与一体的高科技化学公司。业务范围包括化学试剂和产品的研发、生产、销售等。涉及产品为通用试剂的分销、非通用试剂的定制与研发,涵盖生物科技、化学品、中间体和化工材料等领域。
主营产品:COF、MOF单体系列:三蝶烯衍生物、金刚烷衍生物、四苯甲烷衍生物、peg、上转换、石墨烯、光电材料、点击化学、凝集素、载玻片、蛋白质交联剂、脂质体、蛋白、多肽、氨基酸、糖化学等。


