DSPE-PEG-GE11 磷脂-聚乙二醇-肿瘤细胞表皮生长因子肽GE11
产品名称:DSPE-PEG-GE11 磷脂-聚乙二醇-肿瘤细胞表皮生长因子肽GE11
产品描述:
英文名称:DSPE-PEG-GE11
中文名称:磷脂-聚乙二醇-肿瘤细胞表皮生长因子肽GE11
分子量:1000,2000,3400,5000,10000,20000(可按需定制)
端基取代率:≥95%
纯度:≥95%
存储条件:-20°C,避光,避湿
用途:仅用于科学研究或者工业应用等非医疗目的,不可用于人类或动物的临床诊断或***,非药用,非食用
外观:固体或粘性液体,取决于分子量
注意事项:取用一定要干燥,避免频繁的溶解和冻干
溶解性:溶于大部分有机溶剂,如:DCM、DMF、DMSO、THF等等。在水中有很好的溶解性
取用:现配现用,将包装从冰箱中取出,置于干燥器中缓慢升至室温,打开瓶盖,取用。取用后充入惰性气体,封口膜封口,拧紧瓶盖装入自封袋,及时放入冰箱。
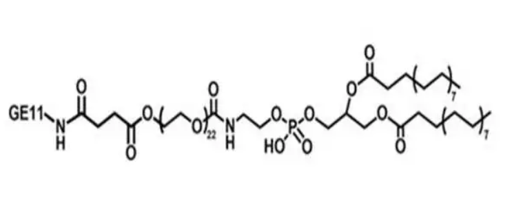
结构式:

西安齐岳生物科技有限公司供应定制合成磷脂、PEG磷脂、两亲嵌段共聚物,磁性纳米颗粒,纳米金,荧光量子点及树枝状聚合物、PEG衍生物等等产品.可供常规磷脂单体、PEG磷脂,改性磷脂,荧光标记磷脂、聚合物磷脂、磷脂偶连无机纳米材料及微球类材料、单分散小分子PEG磷脂偶连产品,还可根据客户需要定制合成复杂及特殊的聚合物磷脂产品。
生产地:陕西西安
生产商:西安齐岳生物科技有限公司
温馨提示:仅用于科学研究
相关产品:
SH-PEG8-OH
SH-PEG8-COOH CAS No.: 866889-02-3
SH-PEG8-COOH
SH-PEG7-SH
SH-PEG7-NH2.HCl
联系我们:
邮箱:2519696869@qq.com
QQ: 2519696869
电话:18066853083
微信:18066853083
公司介绍:
西安齐岳生物科技有限公司是集化学科研和定制与一体的高科技化学公司。业务范围包括化学试剂和产品的研发、生产、销售等。涉及产品为通用试剂的分销、非通用试剂的定制与研发,涵盖生物科技、化学品、中间体和化工材料等领域。
主营产品:COF、MOF单体系列:三蝶烯衍生物、金刚烷衍生物、四苯甲烷衍生物、peg、上转换、石墨烯、光电材料、点击化学、凝集素、载玻片、蛋白质交联剂、脂质体、蛋白、多肽、氨基酸、糖化学等。


