全国高端商务伴游模特预约,400元4小时不限次数联系方式电话,2025小姐威客信息,全国24小时上门茶

01

2023-06

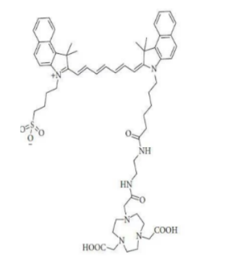
ICG-NOTA 近红外染料标记的大环化合物

ICG-NOTA英文名:ICG-NOTA 中文名:近红外染料标记的大环化合物 用途:用作示踪剂供应商:西安齐岳创科生物科技有限公司产地:西安温馨提示:仅用于科研,不能用于人体实验(zhn2023) 关于我们:西安齐岳创科生物是一家从事经营进口科研试剂

01

2023-06

Methyltetrazine-DOTA 甲基四嗪-大环配体

Methyltetrazine-DOTA 甲基四嗪-大环配体中文名:Methyltetrazine-DOTA分子量:C25H35N9O7纯度:0.98CAS:1778691-88-5 用途:用作示踪剂供应商:西安齐岳创科生物科技有限公司产地:西安温馨

01

2023-06

NOTA-NEB NOTA-Evans Blue(NEB) 大环配体化合物

糖,NEB及其它NOTA-NEB NOTA-Evans Blue(NEB) 大环配体化合物 用途:用作示踪剂供应商:西安齐岳创科生物科技有限公司产地:西安温馨提示:仅用于科研,不能用于人体实验(zhn2023)关于我们:西安齐岳创科生物是一家从事经

31

2023-05

HYINC-FAPI-4,HYINC-FAPI-04 一种示踪剂

HYINC-FAPI-4,HYINC-FAPI-04 一种示踪剂中文名:HYINC-FAPI-4分子量:620.7g/mol纯度:0.98CAS: MDL号:分子式:C31H34F2N8O4用途:用作示踪剂供应商:西安齐岳创科生物科技有限公司产地:

31

2023-05

NTFAPI,CAS:2374782-03-1 一种示踪剂

NTFAPI,CAS:2374782-03-1 一种示踪剂英文名称:NTFAPI中文名称:NTFAPI分子式:C36H47F2N9O8分子量:771.82CAS:2374782-03-1沸点 1061.865.0 C(Predicted)密度 1.4

31

2023-05

FAPI-4,CAS 2374782-02-0 一种用于科学研究的成纤维细胞活化蛋白(FAP)抑制剂

FAPI-4,CAS 2374782-02-0 一种用于科学研究的成纤维细胞活化蛋白(FAP)抑制剂CAS 2374782-02-0;Api-4是一种用于科学研究的成纤维细胞活化蛋白(FAP)抑制剂。一种成纤维细胞活化蛋白抑制剂用途:用作示踪剂供应商

31

2023-05

FAPI-4 FAPI系列探针用作示踪剂,显影剂

FAPI-4 FAPI系列探针用作示踪剂,显影剂中文名:FAPI-4分子量:872.9 g/mol纯度:0.98MDL号:分子式:C40H54F2N10O10用途:用作示踪剂供应商:西安齐岳创科生物科技有限公司产地:西安温馨提示:仅用于科研,不能用

06

2023-05

巯基聚乙二醇甘露糖 SH-PEG10000-Mannose

产品名称:巯基聚乙二醇甘露糖 SH-PEG10000-Mannose状态:固体或粘稠液体,取决于分子量大小保存时间 1年端基取代率:95%稳定性:干燥避光条件下冷冻保存,避免反复冻融。存储条件:-20C,避光,避湿分子量(PEG):其他分子量或规格可

06

2023-05

氨基聚乙二醇羟基 NH2-PEG10000-OH

产品名称:氨基聚乙二醇羟基 NH2-PEG10000-OH状态:固体或粘稠液体,取决于分子量大小保存时间 1年端基取代率:95%稳定性:干燥避光条件下冷冻保存,避免反复冻融。存储条件:-20C,避光,避湿分子量(PEG):其他分子量或规格可定制包装:

06

2023-05

生物素聚乙二醇巯基吡啶 Biotin-PEG10000-OPSS

产品名称:生物素聚乙二醇巯基吡啶 Biotin-PEG10000-OPSS状态:固体或粘稠液体,取决于分子量大小保存时间 1年端基取代率:95%稳定性:干燥避光条件下冷冻保存,避免反复冻融。存储条件:-20C,避光,避湿分子量(PEG):其他分子量或

点击这里给我发消息

微信客服

微信联系

联系电话 : 18066853083

邮箱 : 2265195031@qq.com

地址 : 陕西省西安市莲湖区永新路18号天赐苑6幢10302-B80号

齐岳微信公众号

齐岳微信公众号

齐岳官方微信

齐岳官方微信

ALL Rights Reserved. 西安齐岳生物科技有限公司版权所有. 陕ICP备20008861号-4