葡聚糖-羧基|Dextran-COOH|羧基化葡聚糖的多种别称叫法
产品名称:葡聚糖-羧基|Dextran-COOH|羧基化葡聚糖的多种别称叫法
产品描述:
葡聚糖-羧基|Dextran-COOH|羧基化葡聚糖的多种别称叫法
中文名称:葡聚糖-羧基
英文名称:Dextran-COOH
别称:羧基化葡聚糖,葡聚糖-COOH,carboxyl-葡聚糖
性状:基于不同的分子量,呈白色/类白色固体粉末,或絮状固体。
稳定性:保持密封干燥,冷藏保存,避免反复冻融。
溶剂:DMSO等常规有机溶剂。
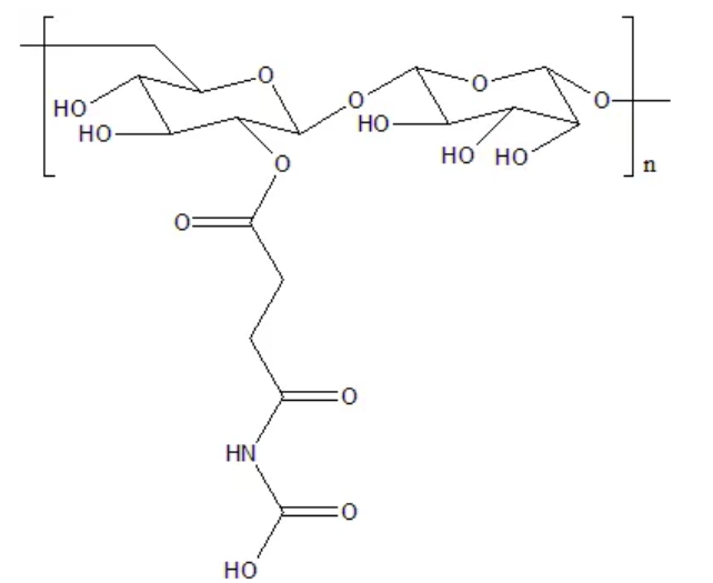
结构式

描述:羧基取代度为20%:例如采用20000分子量的葡聚糖,对其进行羧基化修饰,取代度为20%,即1 mol本品含117个葡萄糖单元,其中有23个葡萄糖单元被羧基化。
用途:科研
状态:固体/粉末/溶液
产地:西安
储存时间:1年
保存:冷藏
储藏条件:-20℃
温馨提醒:仅供科研,不能用于人体实验
以上资料来自小编axc,2022.09.19
温馨提示:以上文中提到的产品仅用于科研,不能用于人体
联系我们:
邮箱:2519696869@qq.com
QQ: 2519696869
电话:18066853083
微信:18066853083
公司介绍:
西安齐岳生物科技有限公司是集化学科研和定制与一体的高科技化学公司。业务范围包括化学试剂和产品的研发、生产、销售等。涉及产品为通用试剂的分销、非通用试剂的定制与研发,涵盖生物科技、化学品、中间体和化工材料等领域。
主营产品:COF、MOF单体系列:三蝶烯衍生物、金刚烷衍生物、四苯甲烷衍生物、peg、上转换、石墨烯、光电材料、点击化学、凝集素、载玻片、蛋白质交联剂、脂质体、蛋白、多肽、氨基酸、糖化学等。


