葡聚糖-马来酰亚胺|Dextran-MAL|马来酰亚胺MAL功能化葡聚糖的取用注意事项
产品名称:葡聚糖-马来酰亚胺|Dextran-MAL|马来酰亚胺MAL功能化葡聚糖的取用注意事项
产品描述:
葡聚糖-马来酰亚胺|Dextran-MAL|马来酰亚胺MAL功能化葡聚糖的取用注意事项
产品名称: 葡聚糖-马来酰亚胺
英文名称:Dextran-MAL
别称:葡聚糖-MAL,马来酰亚胺功能化葡聚糖
纯度:95%+
存储条件:-20°C,避光,避湿
外观: 固体或粘性液体,取决于分子量
包装:瓶装/袋装
溶解性:溶于大部分有机溶剂,如:DCM、DMF、DMSO、THF等等。在水中有很好的溶解性
注意事项:取用一定要干燥,避免频繁的溶解和冻干
用途:仅供科研实验使用,不用于诊治
地址:西安
厂家:西安齐岳生物科技有限公司
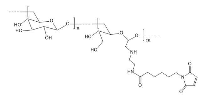
结构式

描述:葡聚糖是一种多糖,它具有结构简单,水溶性好,生物相容性高,它的分子结构表面含有较多的活性基团,可进行多样化可控的化学修饰改性。
西安齐岳生物有能力合成活化功能基团的ICG衍生物产品,包含氨基NH2、COOH羧基、NHS活化脂、MAL马来酰亚胺、SH巯基、N3叠氮、ALK炔烃、Biotin生物素。我们可以把多糖偶连各种亲水疏水聚合物、各种蛋白、各种小分子、各种多肽等等。
联系我们:
邮箱:2519696869@qq.com
QQ: 2519696869
电话:18066853083
微信:18066853083
公司介绍:
西安齐岳生物科技有限公司是集化学科研和定制与一体的高科技化学公司。业务范围包括化学试剂和产品的研发、生产、销售等。涉及产品为通用试剂的分销、非通用试剂的定制与研发,涵盖生物科技、化学品、中间体和化工材料等领域。
主营产品:COF、MOF单体系列:三蝶烯衍生物、金刚烷衍生物、四苯甲烷衍生物、peg、上转换、石墨烯、光电材料、点击化学、凝集素、载玻片、蛋白质交联剂、脂质体、蛋白、多肽、氨基酸、糖化学等。


