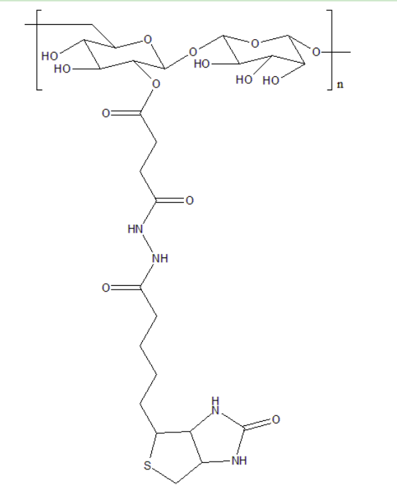
葡聚糖-生物素|Dextran-Biotin|生物素修饰标记葡聚糖的结构式
产品名称:葡聚糖-生物素|Dextran-Biotin|生物素修饰标记葡聚糖的结构式
产品描述:
产品名称:葡聚糖-生物素
英文名称:Dextran-Biotin
别称:生物素修饰的葡聚糖,Biotin-葡聚糖
纯度:95%+
存储条件:-20°C,避光,避湿
外观状态:白色粉末
包装:瓶装/袋装
溶解性:溶于大部分有机溶剂,如:DCM、DMF、DMSO、THF等等。在水中有很好的溶解性
注意事项:取用一定要干燥,避免频繁的溶解和冻干
用途:仅供科研实验使用,不用于诊治
地址:西安
厂家:西安齐岳生物科技有限公司
结构式:

西安齐岳生物供应BSA、PLGA、PCL、 PLA、Chitosan、 HRP、量子点QDs、Concanavalin A、DSPE-PEG-HA透明质酸、纳米金、Sepharose 4B、PAMAM-PEG、PAA、Ubiquitin、Albumin、PEG、PEI、PNIPAM、Dopamine、磷脂、Cisplatin顺铂、阿霉素 紫杉醇、Folate-PEG、RGD多肽、Biotin生物素 、HAS修饰/标记/改性糖
联系我们:
邮箱:2519696869@qq.com
QQ: 2519696869
电话:18066853083
微信:18066853083
公司介绍:
西安齐岳生物科技有限公司是集化学科研和定制与一体的高科技化学公司。业务范围包括化学试剂和产品的研发、生产、销售等。涉及产品为通用试剂的分销、非通用试剂的定制与研发,涵盖生物科技、化学品、中间体和化工材料等领域。
主营产品:COF、MOF单体系列:三蝶烯衍生物、金刚烷衍生物、四苯甲烷衍生物、peg、上转换、石墨烯、光电材料、点击化学、凝集素、载玻片、蛋白质交联剂、脂质体、蛋白、多肽、氨基酸、糖化学等。


