GDP-L-Fuc,CAS: 15839-70-0,核苷酸糖
产品名称:GDP-L-Fuc,CAS: 15839-70-0,核苷酸糖
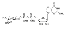
产品描述:
GDP-L-Fuc,CAS: 15839-70-0,核苷酸糖
CAS: 15839-70-0,GDP-L-Fuc, Guanosine 5’-diphospho-β-L-fucose Disodium Salt (10 mg)
Formula: C16H23N5O15P2Na2
CAS: 15839-70-0
MW: 633.31
Purity: min 90% by HPLC
用途:科研
纯度:≥95%
保存时间: 1年
产地:西安
供应商:西安齐岳创科生物科技有限公司
注意事项:仅用于科研不用于人体

关于我们:
西安齐岳创科生物是一家从事经营进口科研试剂销售公司,科研试剂主要涉及生命科学、医学及药学。 我们主要供应peg衍生物、氨基酸、玻片、光电化学、杂环小分子、荧光染料、糖化学、小分子半导体砌块、有机硅、有机氟、倍半硅氧烷、蛋白及糖类偶联、产品、超分子主体材料、大环配体、点击化学、电镀化学品等等产品。
相关产品:
UDP-glucose
UDP-葡萄糖
UDPGT UDP-glucuronosyltransferase
尿苷二磷酸葡萄糖醛酸转移酶
UDP-4-azido-4-deoxy-D-Glc
叠氮基-4-脱氧-D-葡萄糖
UDP- N- acetylglucosamine pyrophosphorylase
UDP-N-乙酰葡萄糖胺焦磷酸化酶
UDP-GIcUA UDP-glucuronic acid
UDP-葡萄糖醛酸
UDP-2FGal Uridine 5'-diphospho-(2-deoxy-2-fluoro)galactose
联系我们:
邮箱:2519696869@qq.com
QQ: 2519696869
电话:18066853083
微信:18066853083
公司介绍:
西安齐岳生物科技有限公司是集化学科研和定制与一体的高科技化学公司。业务范围包括化学试剂和产品的研发、生产、销售等。涉及产品为通用试剂的分销、非通用试剂的定制与研发,涵盖生物科技、化学品、中间体和化工材料等领域。
主营产品:COF、MOF单体系列:三蝶烯衍生物、金刚烷衍生物、四苯甲烷衍生物、peg、上转换、石墨烯、光电材料、点击化学、凝集素、载玻片、蛋白质交联剂、脂质体、蛋白、多肽、氨基酸、糖化学等。


