叶酸修饰的葡聚糖,Dextran-Folicacid,葡聚糖-叶酸FA(结构式)
产品名称:叶酸修饰的葡聚糖,Dextran-Folicacid,葡聚糖-叶酸FA(结构式)
产品描述:
叶酸修饰的葡聚糖,Dextran-Folicacid,葡聚糖-叶酸FA(注意事项)
中文名:叶酸修饰的葡聚糖
别称:葡聚糖-FA,葡聚糖-叶酸
质量:90%+
溶解性:SolubleinDMSOorDMF.
保存:-20℃2年
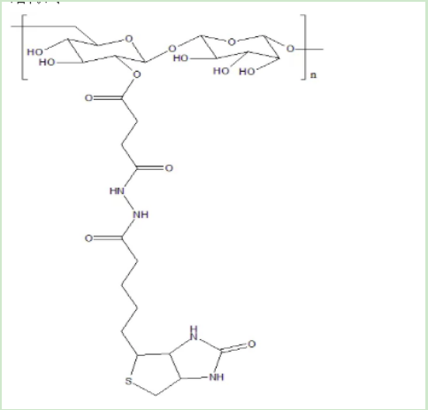
结构式:

齐岳生物可以提供的几种多糖系列产品:
多糖系列一:海藻酸钠Alginate衍生物系列:
多糖系列二:Chitosan壳聚糖衍生物系列
多糖系列三:Dextran葡聚糖衍生物系列
多糖系列四:Heparin肝素衍生物系列产品
多糖系列产品五:Chondroitin-Sulfate硫酸软骨素衍生物系列产品
多糖系列产品六:纤维素衍生物系列产品
多糖系列产品七:聚蔗糖衍生物系列产品Ficoll & Conjugates
以上资料来自小编axc,2022.09.20
温馨提示:以上文中提到的产品仅用于科研,不能用于人体
联系我们:
邮箱:2519696869@qq.com
QQ: 2519696869
电话:18066853083
微信:18066853083
公司介绍:
西安齐岳生物科技有限公司是集化学科研和定制与一体的高科技化学公司。业务范围包括化学试剂和产品的研发、生产、销售等。涉及产品为通用试剂的分销、非通用试剂的定制与研发,涵盖生物科技、化学品、中间体和化工材料等领域。
主营产品:COF、MOF单体系列:三蝶烯衍生物、金刚烷衍生物、四苯甲烷衍生物、peg、上转换、石墨烯、光电材料、点击化学、凝集素、载玻片、蛋白质交联剂、脂质体、蛋白、多肽、氨基酸、糖化学等。


