葡聚糖-Cy3.5,Cy3.5-Dextran,红色荧光标记葡聚糖
产品名称:葡聚糖-Cy3.5,Cy3.5-Dextran,红色荧光标记葡聚糖
产品描述:
产品名称:葡聚糖-Cy3.5
英文名称:Cy3.5-Dextran
别称:红色荧光标记葡聚糖,荧光染料Cy3.5修饰葡聚糖
纯度:95%+
外观: 固体或粘性液体,取决于分子量
包装:瓶装/袋装
外观 紫色固体
溶解度 水溶
存储条件:-20°C,避光,避湿
保存时间 1年
波长:591-604nm
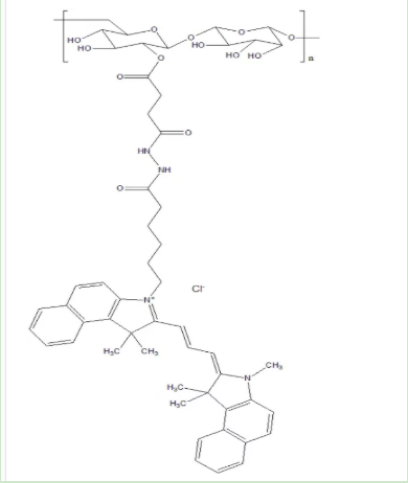
结构式:

描述:Cy3.5标记葡聚糖是发射红色荧光的纳米级荧光葡聚糖结合物之一。Cy3.5葡聚糖共轭物具有激发/发射波长约591纳米/604纳米。我们提供各种化学官能化和荧光标记的葡聚糖产物,其光激发/发射跨越400纳米至800纳米。这些荧光中心葡聚糖通过大小色谱纯化,以除去非共轭染料分子,并确保在体外和体内都有足够的应用。
相关产品:
葡聚糖-氨基 Dextran-NH2 氨基修饰葡聚糖
葡聚糖-羧酸 Dextran-COOH 羧酸功能化葡聚糖
葡聚糖-马来酰亚胺 Dextran-MAL 马来酰亚胺改性葡聚糖
葡聚糖-N-羟基琥珀酰亚胺 Dextran-NHS N-羟基琥珀酰亚胺偶联葡聚糖
葡聚糖-叠氮 Dextran-N3 叠氮修饰葡聚糖
葡聚糖-炔基 Dextran-Alkyne 炔基功能化葡聚糖
葡聚糖-巯基 Dextran-SH 巯基改性葡聚糖
葡聚糖-生物素 Dextran-Biotin 生物素修饰葡聚糖
葡聚糖-醛基 Dextran-CHO 醛基修饰葡聚糖
以上资料来自小编axc,2022.09.20
温馨提示:以上文中提到的产品仅用于科研,不能用于人体
联系我们:
邮箱:2519696869@qq.com
QQ: 2519696869
电话:18066853083
微信:18066853083
公司介绍:
西安齐岳生物科技有限公司是集化学科研和定制与一体的高科技化学公司。业务范围包括化学试剂和产品的研发、生产、销售等。涉及产品为通用试剂的分销、非通用试剂的定制与研发,涵盖生物科技、化学品、中间体和化工材料等领域。
主营产品:COF、MOF单体系列:三蝶烯衍生物、金刚烷衍生物、四苯甲烷衍生物、peg、上转换、石墨烯、光电材料、点击化学、凝集素、载玻片、蛋白质交联剂、脂质体、蛋白、多肽、氨基酸、糖化学等。


