葡聚糖-CY3,Dextran-Cyanine3,荧光染料CY3标记葡聚糖的参数信息
产品名称:葡聚糖-CY3,Dextran-Cyanine3,荧光染料CY3标记葡聚糖的参数信息
产品描述:
产品名称:葡聚糖-CY3
英文名称:Dextran-Cyanine3
别称:荧光染料CY3标记葡聚糖,CY3-葡聚糖,Cyanine3-葡聚糖
纯度:95%+
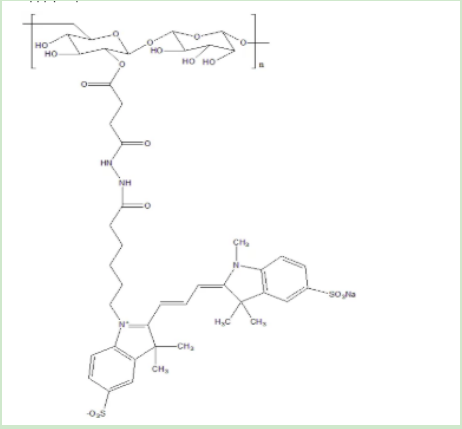
外观 红色固体
包装:瓶装/袋装
分子量 70000Da
溶解度: 水溶
存储条件:-20°C,避光,避湿
保存时间 1年
结构式:

西安齐岳生物提供FITC/罗丹明,CY系列,ICG系列,IR系列,近红外二区染料,Bodipy系列,Comarin系列, ATTO系列,AlexaFluor系列的荧光染料标记定制产品和荧光探针设计
糖偶联蛋白定制(牛血清白蛋白BSA、刀豆球蛋白、重组蛋白、肝素、卵清蛋白或各种其他蛋白)
糖偶联多肽定制(市面上的所有多肽或定制肽我们都可以标记)
糖偶联药物定制(阿霉素、紫杉醇,各种小分子药物)
糖偶联聚合物定制(聚乙二醇,PAMAM,PLGA-PEG共聚物)
糖偶联生物定制(DNA,RNA,细胞膜)
酶偶联糖定制(部分酶标记定制)
糖偶联小分子化合物(各类小分子化合物标记定制)
糖偶联活性物质定制(部分活性物质标记定制)
糖偶联无机材料定制(二氧化硅、四氧化三铁)
糖偶联聚氨基酸定制(聚赖氨酸、聚谷氨酸)
糖偶联脂类物质定制(磷脂、胆固醇、油酸)
以上资料来自小编axc,2022.09.20
温馨提示:以上文中提到的产品仅用于科研,不能用于人体
联系我们:
邮箱:2519696869@qq.com
QQ: 2519696869
电话:18066853083
微信:18066853083
公司介绍:
西安齐岳生物科技有限公司是集化学科研和定制与一体的高科技化学公司。业务范围包括化学试剂和产品的研发、生产、销售等。涉及产品为通用试剂的分销、非通用试剂的定制与研发,涵盖生物科技、化学品、中间体和化工材料等领域。
主营产品:COF、MOF单体系列:三蝶烯衍生物、金刚烷衍生物、四苯甲烷衍生物、peg、上转换、石墨烯、光电材料、点击化学、凝集素、载玻片、蛋白质交联剂、脂质体、蛋白、多肽、氨基酸、糖化学等。


