葡聚糖-CY5,Dextran-Cyanine5,菁染料CY5标记葡聚糖的溶解度
产品名称:葡聚糖-CY5,Dextran-Cyanine5,菁染料CY5标记葡聚糖的溶解度
产品描述:
产品名称:葡聚糖-CY5
英文名称:Dextran-Cyanine5
别称:菁染料CY5标记葡聚糖,Cyanine5-葡聚糖
纯度:95%+
包装:瓶装/袋装
外观蓝色固体或粉末
分子量70000Da
溶解度:水溶
存储条件:-20°C,避光,避湿
保存时间1年
波长:646-662nm
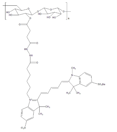
结构式:

西安齐岳生物可以提供基于甘露糖修饰偶联科研、剂、荧光分子、磷脂、其他小分子化合物、聚合物、多肽和蛋白和活性基团修饰等定制产品。
1:甘露糖-荧光标记物定制:FITC/TRITC/CY3/CY5/CY5.5/CY7/CY7.5/ICG/FA
2:甘露糖-聚合物定制:PEG/PEI/dextran/PLAG/PCL/PLA/PAA
3:甘露糖--多肽,蛋白定制
4:甘露糖-活性基团(NH2/MAL/COOH/NHS/N3/ALK/DBCO)定制
5:甘露糖-小分子定制(科研 剂 荧光分子 磷脂 其他小分子化合物)
以上资料来自小编axc,2022.09.20
温馨提示:以上文中提到的产品仅用于科研,不能用于人体
联系我们:
邮箱:2519696869@qq.com
QQ: 2519696869
电话:18066853083
微信:18066853083
公司介绍:
西安齐岳生物科技有限公司是集化学科研和定制与一体的高科技化学公司。业务范围包括化学试剂和产品的研发、生产、销售等。涉及产品为通用试剂的分销、非通用试剂的定制与研发,涵盖生物科技、化学品、中间体和化工材料等领域。
主营产品:COF、MOF单体系列:三蝶烯衍生物、金刚烷衍生物、四苯甲烷衍生物、peg、上转换、石墨烯、光电材料、点击化学、凝集素、载玻片、蛋白质交联剂、脂质体、蛋白、多肽、氨基酸、糖化学等。


