BCN-PEG-Maleimide 环丙烷环辛炔聚乙二醇马来酰亚胺
产品名称:BCN-PEG-Maleimide 环丙烷环辛炔聚乙二醇马来酰亚胺
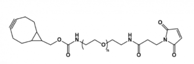
产品描述:
双环[6,1,0]壬炔 (BCN) (环丙烷环辛炔)可以通过无铜的点击化学与叠氮化物标记的分子或生物分子反应生成稳定的三氮唑连接。
产品名称 BCN-PEG-Maleimide 环丙烷环辛炔聚乙二醇马来酰亚胺
中文名称 环丙烷环辛炔聚乙二醇马来酰亚胺
英文名称 BCN-PEG-Maleimide
分子量 2000
CAS N/A
溶解度 DMSO,CHCl3,甲醇
存储条件 -20°冷冻
保存时间 一年

产品特点及技术优势:
1.PEG分子量可选:350 550 750 1000 2000 3400 5000 10000
2、生产工艺简化,杂质低,品质稳定
3、批量生产,成本可控
4、可提供800多种产品规格
5、其他特殊规格可提供定制
相关产品:
TCO-PEG-COOH 羧基-聚乙二醇-反式环辛烯
BCN-PEG-SH 环丙烯环辛炔聚乙二醇巯基
BCN-PEG-NHS 环丙烷环辛炔聚乙二醇活性酯
叠氮聚乙二醇巯基,N3-PEG-SH
TCO-PEG-NHS 反式环辛烯聚乙二醇活性酯
BCN-PEG-Folate 环丙烷环辛炔聚乙二醇叶酸
TCO-PEG-MAL 马来酰亚胺-聚乙二醇-反式环辛烯
BCN-PEG-FITC 环丙烷环辛炔聚乙二醇荧光素
温馨提示:仅用于科研?。?!
厂家:西安齐岳生物科技有限公司
联系我们:
邮箱:2519696869@qq.com
QQ: 2519696869
电话:18066853083
微信:18066853083
公司介绍:
西安齐岳生物科技有限公司是集化学科研和定制与一体的高科技化学公司。业务范围包括化学试剂和产品的研发、生产、销售等。涉及产品为通用试剂的分销、非通用试剂的定制与研发,涵盖生物科技、化学品、中间体和化工材料等领域。
主营产品:COF、MOF单体系列:三蝶烯衍生物、金刚烷衍生物、四苯甲烷衍生物、peg、上转换、石墨烯、光电材料、点击化学、凝集素、载玻片、蛋白质交联剂、脂质体、蛋白、多肽、氨基酸、糖化学等。


