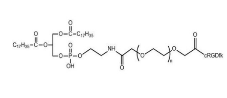
磷脂-聚乙二醇-靶向穿膜肽cRGD环肽 DSPE-PEG-cRGD,MW:2000
产品名称:磷脂-聚乙二醇-靶向穿膜肽cRGD环肽 DSPE-PEG-cRGD,MW:2000
产品描述:
磷脂-聚乙二醇-靶向穿膜肽cRGD环肽 DSPE-PEG-cRGD,MW:2000

中文:磷脂-聚乙二醇-靶向穿膜肽cRGD环肽
英文:DSPE-PEG-cRGD
The cRGD-PEG-DSPE chain consists of a cRGD cyclic peptide and DSPE phospholipids at either end. It is an active target substance and can be used as an anti-tumor drug carrier and active target substance. Applications of RGD peptides include inhibition of apoptosis, angiogenesis and tumorigenesis. RGD peptides are used as coating surfaces for biomaterials to enhance drug delivery and imaging for disease diagnosis. PEGated RGDs can be cross-linked with other molecules through reactive end groups on PEGs and used in a variety of biomedical research. The polyethylene glycolation of phospholipids significantly improved the cycle time and stability of encapsulated drugs. These materials can also be used for targeted drug delivery by modifying their surfaces with targeted ligands (e.g. antibodies, peptides).
DSPE-PEG-cRGD的应用:
1、可用于胶束、囊泡的被动靶向,主动靶向研究和用于药物输送;
2、可用于药物传递、基因转染和生物分子修饰;
3、改善了胶囊药物的血液循环时间和稳定性。
用途:科研
包装: 瓶装
供应商:西安齐岳生物科技有限公司
温馨提示:仅用于科研!
西安齐岳生物科技有限公司成立于2015年7月,是一家从事材料科学,高端化学,生命科学的科研试剂公司。2015年发展至今,公司经营产品种类多达上百种,销售产品十几万个,公司一直致力于为科研客户提供优质的产品服务,广泛的产品种类,有价格竞争力的科研试剂。
相关产品:
甲氧基聚乙二醇环丙烷环辛炔
C17H17NO5
胆固醇聚乙二醇二苯基环辛炔
炔基聚乙二醇叔丁酯 叔丁酯PEG炔
二二苯基环辛炔聚乙二醇
八臂聚乙二醇二苯基环辛炔
二苯基环辛炔-胺 氨基-二苯基环辛炔
甲基四嗪-四乙二醇-羧基
(endo)环丙烷环辛炔-三乙二醇-氨基
C??H??N??O?
甲氧基聚乙二醇二苯基环辛炔
2-溴-2-甲基-3-(三甲基硅)-环丙烷甲醇
氨基聚乙二醇二苯基环辛炔
甲氧基聚乙二醇四嗪
巯基聚乙二醇二苯基环辛炔
马来酰亚胺聚乙二醇二苯基环辛炔
四嗪-聚乙二醇-活性酯
四嗪-聚乙二醇-活性酯
(4E)-TCO-NHS ester
活性酯聚乙二醇二苯基环辛炔
生物素聚乙二醇二苯基环辛炔
四嗪-聚乙二醇-马来酰亚胺
联系我们:
邮箱:2519696869@qq.com
QQ: 2519696869
电话:18066853083
微信:18066853083
公司介绍:
西安齐岳生物科技有限公司是集化学科研和定制与一体的高科技化学公司。业务范围包括化学试剂和产品的研发、生产、销售等。涉及产品为通用试剂的分销、非通用试剂的定制与研发,涵盖生物科技、化学品、中间体和化工材料等领域。
主营产品:COF、MOF单体系列:三蝶烯衍生物、金刚烷衍生物、四苯甲烷衍生物、peg、上转换、石墨烯、光电材料、点击化学、凝集素、载玻片、蛋白质交联剂、脂质体、蛋白、多肽、氨基酸、糖化学等。


