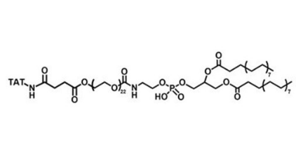
磷脂-聚乙二醇-靶向穿膜肽 DSPE-PEG-TAT,MW:1000
产品名称:磷脂-聚乙二醇-靶向穿膜肽 DSPE-PEG-TAT,MW:1000
产品描述:
磷脂-聚乙二醇-靶向穿膜肽TAT DSPE-PEG-TAT,MW:1000

中文:磷脂-聚乙二醇-靶向穿膜肽TAT
英文:DSPE-PEG-TAT
穿膜肽TAT,具备极强的细胞穿透力且能直接作用于细胞核,TAT (YGRKKRRQRRR)(Tyr-Gly-Arg-Lys-Lys-Arg-Arg-Gln-Arg-Arg-Arg)源自人免疫缺陷病毒 (HIV-1) 的转录反式激活因子 (TAT),是一种穿透细胞的肽,具有极强的细胞穿透力。
细胞穿膜肽,是一类能携带大分子物质进入细胞的短肽,其穿膜能力不依赖经典的胞吞作用。
DSPE-PEG-TAT的作用:直接作用于细胞核 TAT 可以增加异源蛋白质的产量和溶解度。
DSPE-PEG-TAT,1,2-distearoyl-sn-glycero-3-phosphoethanolamine-N-(polyethylene glycol) -TAT (sodium salt) is lipid-PEG drug used for scientific research. TAT is a kind of polypeptide.
用途:科研
包装: 瓶装
供应商:西安齐岳生物科技有限公司
温馨提示:仅用于科研!
西安齐岳生物科技有限公司成立于2015年7月,是一家从事材料科学,高端化学,生命科学的科研试剂公司。2015年发展至今,公司经营产品种类多达上百种,销售产品十几万个,公司一直致力于为科研客户提供优质的产品服务,广泛的产品种类,有价格竞争力的科研试剂。
相关产品:
羧基聚乙二醇二苯基环辛炔
四嗪-聚乙二醇-羧基
胆固醇聚乙二醇二苯基环辛炔
四嗪-聚乙二醇-二苯基环辛炔
四臂聚乙二醇二苯基环辛炔
二二苯基环辛炔聚乙二醇
四嗪聚乙二醇叠氮
四嗪聚乙二醇磷脂
四嗪聚乙二醇Cy5
四嗪聚乙二醇Cy7
四嗪聚乙二醇Cy3
四嗪聚乙二醇氨基
四嗪聚乙二醇荧光素
叠氮聚乙二醇磷脂 叠氮PEG磷脂
四臂PEG丙炔 四臂PEG炔基 四臂聚乙二醇炔基
四嗪-聚乙二醇-环肽RGD
八臂PEG丙炔 八臂PEG炔基 八臂PEG炔 八臂聚乙二醇炔基
四嗪聚乙二醇线肽RGD
四臂聚乙二醇叠氮 四臂PEG叠氮
八臂聚乙二醇叠氮 八臂PEG叠氮
联系我们:
邮箱:2519696869@qq.com
QQ: 2519696869
电话:18066853083
微信:18066853083
公司介绍:
西安齐岳生物科技有限公司是集化学科研和定制与一体的高科技化学公司。业务范围包括化学试剂和产品的研发、生产、销售等。涉及产品为通用试剂的分销、非通用试剂的定制与研发,涵盖生物科技、化学品、中间体和化工材料等领域。
主营产品:COF、MOF单体系列:三蝶烯衍生物、金刚烷衍生物、四苯甲烷衍生物、peg、上转换、石墨烯、光电材料、点击化学、凝集素、载玻片、蛋白质交联剂、脂质体、蛋白、多肽、氨基酸、糖化学等。


